🇳🇴 🇬🇧 🇩🇪 🇨🇿 🇫🇮

Meteor Osin yllä 2025-01-05 00:12:28 UTC

KML-tiedosto  |  Interaktiivinen kartta

Kartta näyttää meteorin suuntahavainnot. Vaaleammat viivat näyttävät suunnat havaintoasemilta meteorin ilmestyessä, ja tummemmat viivat näyttävät, missä se viimeksi nähtiin. Sininen nuoli näyttää meteorin näkyvän lennon.

static map
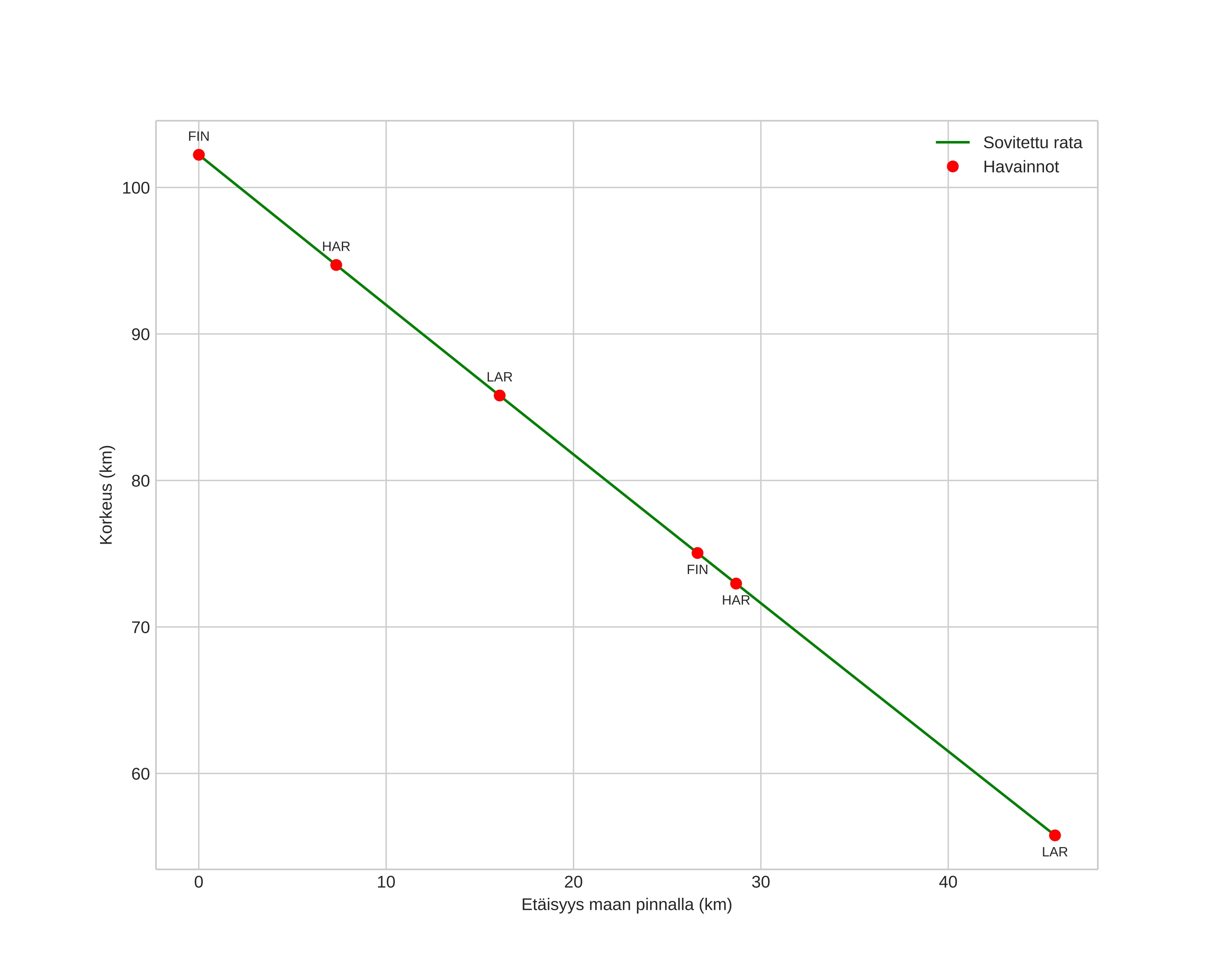
height profile
Meteorin ilmakehärata:
Alkukorkeus: 102,4 km
Loppukorkeus: 55,5 km
Alkupiste: 61,997N 11,116E
Loppupiste: 62,405N 11,223E
Suunta: 6,9°
Kallistuskulma: 45,7°
Tulonopeus: 29,9 km/s
Radiantin R,A,: 07:32 (113,1°)
Radiantin Dekl,: 16,1°
Meteoriparvi: Sporadinen
Meteoroidin rataelementit:
Perihelietäisyys: 0,424 AU
Eksentrisyys: 0,838
Inklinaatio: 5,8°
Nousevan solmun pituus: 104,6°
Perihelin argumentti: 104,3°
Keskianomalia: 350,2°
Epookki: 2025 JAN 05 00:12:28
orbit plot

Ei-interaktiivinen kuvaaja | Interaktiivinen kuvaaja

position vs time
speed and acceleration