🇳🇴 🇬🇧 🇩🇪 🇨🇿 🇫🇮

Meteor, poloha: Molkom 2025-01-05 01:35:49 UTC

Soubor KML  |  InteraktivnĂ­ mapa

Mapa zobrazuje dráhy meteoru. Světlejší čáry ukazují směry od pozorovacích stanic při objevení se meteoru a tmavší čáry, kde byl naposledy viděn. Modrá šipka značí viditelnou dráhu meteoru.

static map
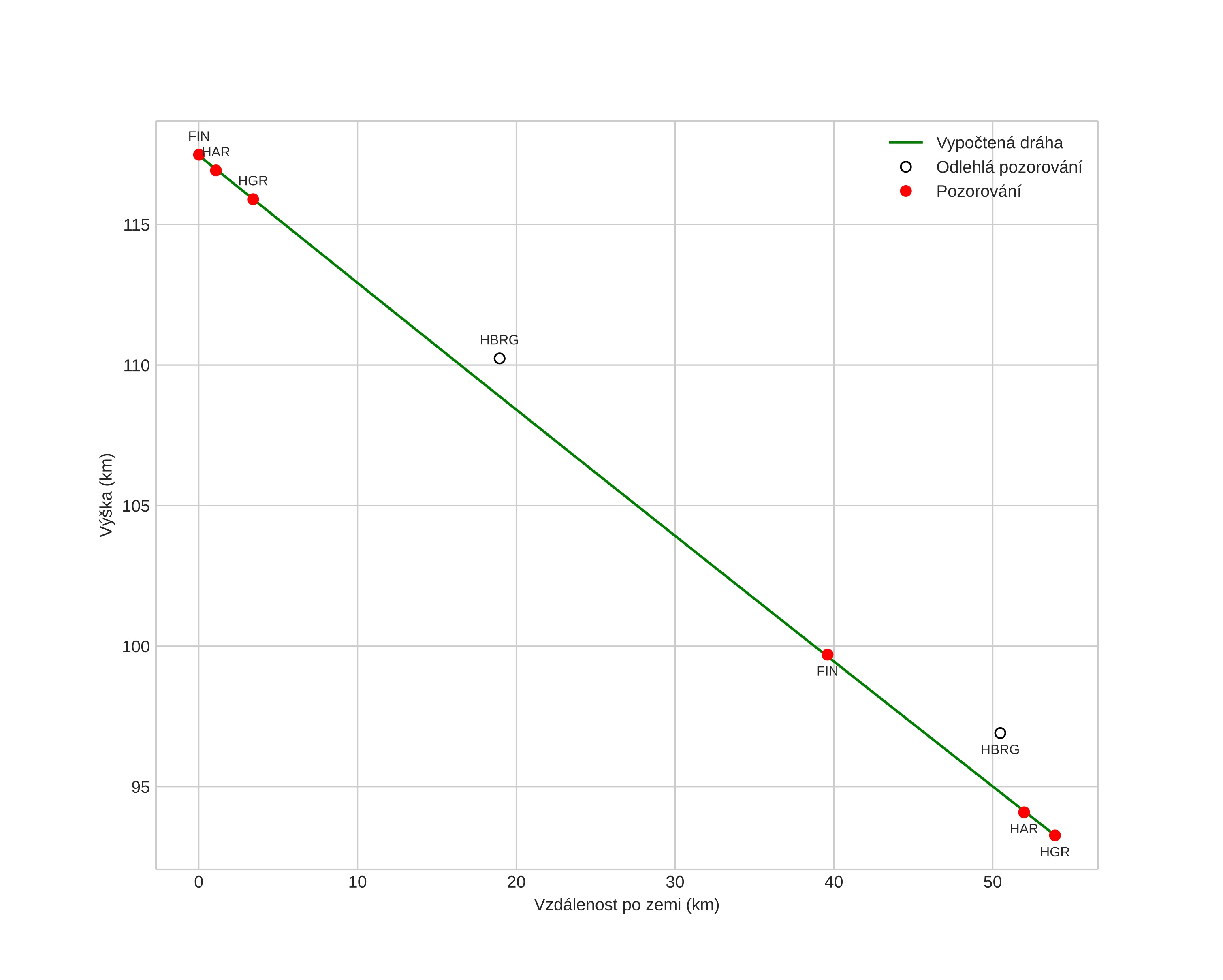
height profile
Atmosférická dráha meteoru:
Počáteční výška: 118,7 km
Konečná výška: 94,4 km
Počáteční poloha: 59,635N 14,677E
Konečná poloha: 59,671N 13,694E
Směr: 274,5°
Sklon: 23,7°
VstupnĂ­ rychlost: 60,7 km/s
Rektascenze radiantu: 14:28 (217,2°)
Deklinace radiantu: 17,7°
MeteorickĂ˝ roj: sporadickĂ˝
Elementy dráhy meteoroidu:
Vzdálenost v periheliu: 0,855 AU
Excentricita: 0,646
Sklon dráhy: 122,8°
Délka vzestupného uzlu: 284,6°
Argument perihelia: 131,9°
Střední anomálie: 8,7°
Epocha: 2025 JAN 05 01:35:49
orbit plot

NeinteraktivnĂ­ graf | InteraktivnĂ­ graf

position vs time
speed and acceleration