🇳🇴 🇬🇧 🇩🇪 🇨🇿 🇫🇮

Meteor Molkomin yllä 2025-01-05 01:35:49 UTC

KML-tiedosto  |  Interaktiivinen kartta

Kartta näyttää meteorin suuntahavainnot. Vaaleammat viivat näyttävät suunnat havaintoasemilta meteorin ilmestyessä, ja tummemmat viivat näyttävät, missä se viimeksi nähtiin. Sininen nuoli näyttää meteorin näkyvän lennon.

static map
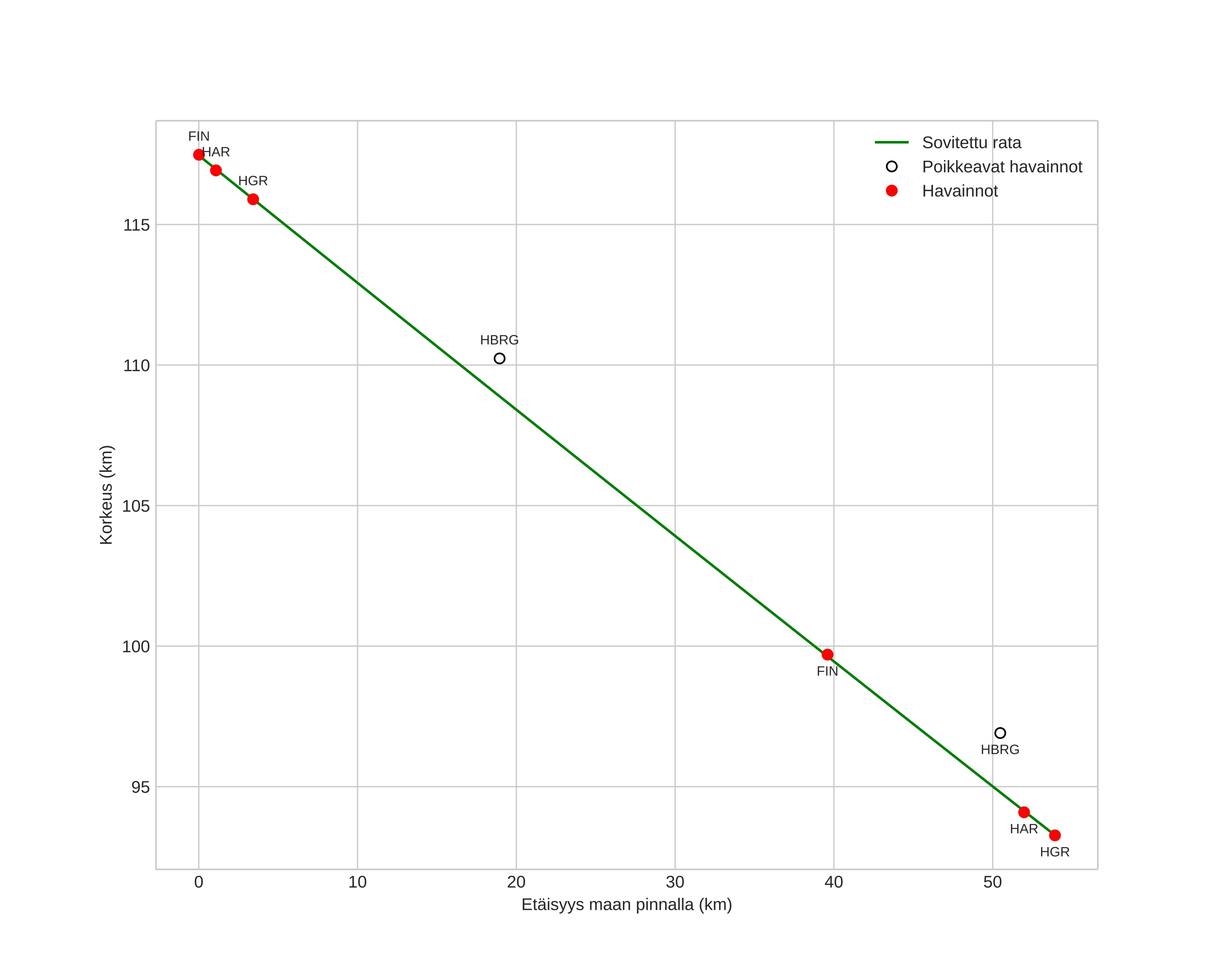
height profile
Meteorin ilmakehärata:
Alkukorkeus: 118,7 km
Loppukorkeus: 94,4 km
Alkupiste: 59,635N 14,677E
Loppupiste: 59,671N 13,694E
Suunta: 274,5°
Kallistuskulma: 23,7°
Tulonopeus: 60,7 km/s
Radiantin R,A,: 14:28 (217,2°)
Radiantin Dekl,: 17,7°
Meteoriparvi: Sporadinen
Meteoroidin rataelementit:
Perihelietäisyys: 0,855 AU
Eksentrisyys: 0,646
Inklinaatio: 122,8°
Nousevan solmun pituus: 284,6°
Perihelin argumentti: 131,9°
Keskianomalia: 8,7°
Epookki: 2025 JAN 05 01:35:49
orbit plot

Ei-interaktiivinen kuvaaja | Interaktiivinen kuvaaja

position vs time
speed and acceleration