🇳🇴 🇬🇧 🇩🇪 🇨🇿 🇫🇮

Meteor, poloha: Spetalen 2025-01-05 04:20:25 UTC

Soubor KML  |  InteraktivnĂ­ mapa

Mapa zobrazuje dráhy meteoru. Světlejší čáry ukazují směry od pozorovacích stanic při objevení se meteoru a tmavší čáry, kde byl naposledy viděn. Modrá šipka značí viditelnou dráhu meteoru.

static map
height profile
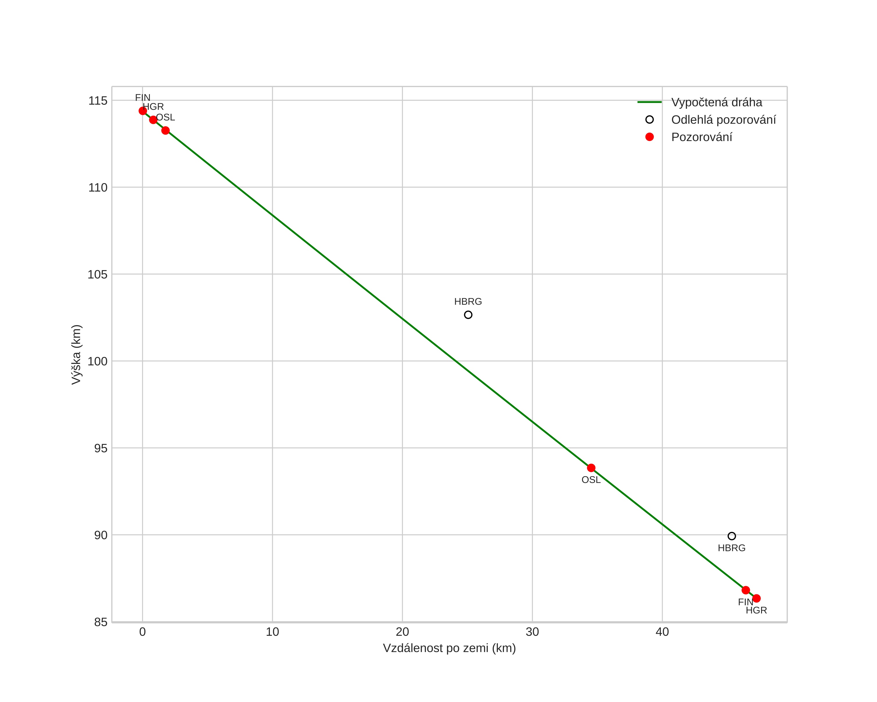
Atmosférická dráha meteoru:
Počáteční výška: 114,9 km
Konečná výška: 86,6 km
Počáteční poloha: 59,920N 12,486E
Konečná poloha: 60,179N 11,800E
Směr: 307,3°
Sklon: 30,7°
VstupnĂ­ rychlost: 61,5 km/s
Rektascenze radiantu: 15:05 (226,3°)
Deklinace radiantu: 10,0°
MeteorickĂ˝ roj: sporadickĂ˝
Elementy dráhy meteoroidu:
Vzdálenost v periheliu: 0,613 AU
Excentricita: 0,863
Sklon dráhy: 124,6°
Délka vzestupného uzlu: 284,7°
Argument perihelia: 100,8°
Střední anomálie: 4,2°
Epocha: 2025 JAN 05 04:20:25
orbit plot

NeinteraktivnĂ­ graf | InteraktivnĂ­ graf

position vs time
speed and acceleration