🇳🇴 🇬🇧 🇩🇪 🇨🇿 🇫🇮

Meteor Spetalenin yllä 2025-01-05 04:20:25 UTC

KML-tiedosto  |  Interaktiivinen kartta

Kartta näyttää meteorin suuntahavainnot. Vaaleammat viivat näyttävät suunnat havaintoasemilta meteorin ilmestyessä, ja tummemmat viivat näyttävät, missä se viimeksi nähtiin. Sininen nuoli näyttää meteorin näkyvän lennon.

static map
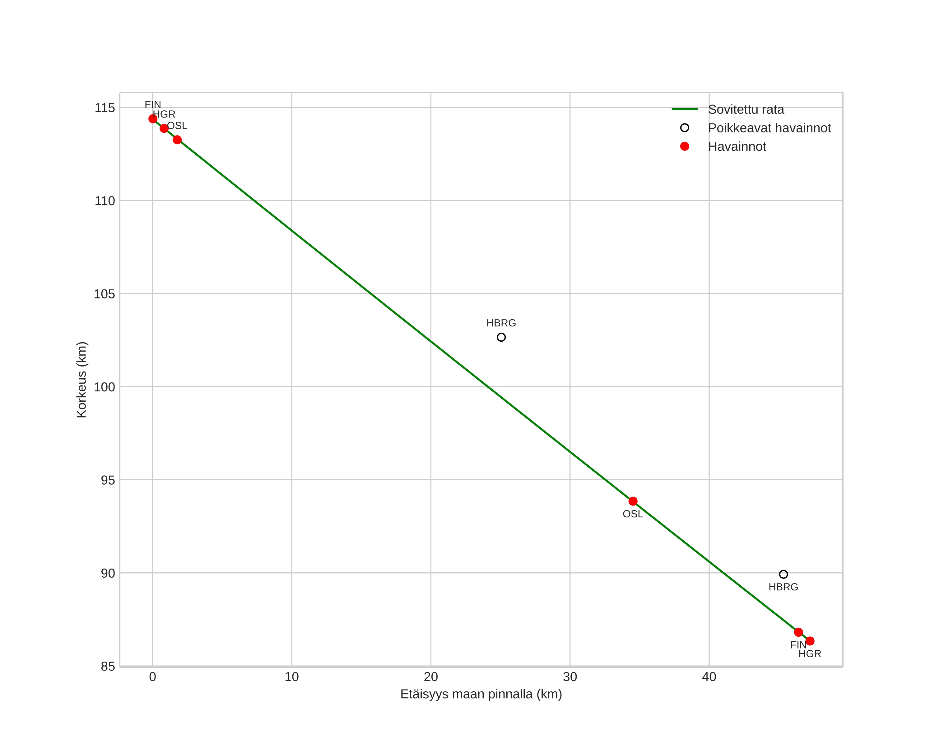
height profile
Meteorin ilmakehärata:
Alkukorkeus: 114,9 km
Loppukorkeus: 86,6 km
Alkupiste: 59,920N 12,486E
Loppupiste: 60,179N 11,800E
Suunta: 307,3°
Kallistuskulma: 30,7°
Tulonopeus: 61,5 km/s
Radiantin R,A,: 15:05 (226,3°)
Radiantin Dekl,: 10,0°
Meteoriparvi: Sporadinen
Meteoroidin rataelementit:
Perihelietäisyys: 0,613 AU
Eksentrisyys: 0,863
Inklinaatio: 124,6°
Nousevan solmun pituus: 284,7°
Perihelin argumentti: 100,8°
Keskianomalia: 4,2°
Epookki: 2025 JAN 05 04:20:25
orbit plot

Ei-interaktiivinen kuvaaja | Interaktiivinen kuvaaja

position vs time
speed and acceleration