🇳🇴 🇬🇧 🇩🇪 🇨🇿 🇫🇮

Meteor, poloha: Malung 2025-01-05 05:27:37 UTC

Soubor KML  |  InteraktivnĂ­ mapa

Mapa zobrazuje dráhy meteoru. Světlejší čáry ukazují směry od pozorovacích stanic při objevení se meteoru a tmavší čáry, kde byl naposledy viděn. Modrá šipka značí viditelnou dráhu meteoru.

static map
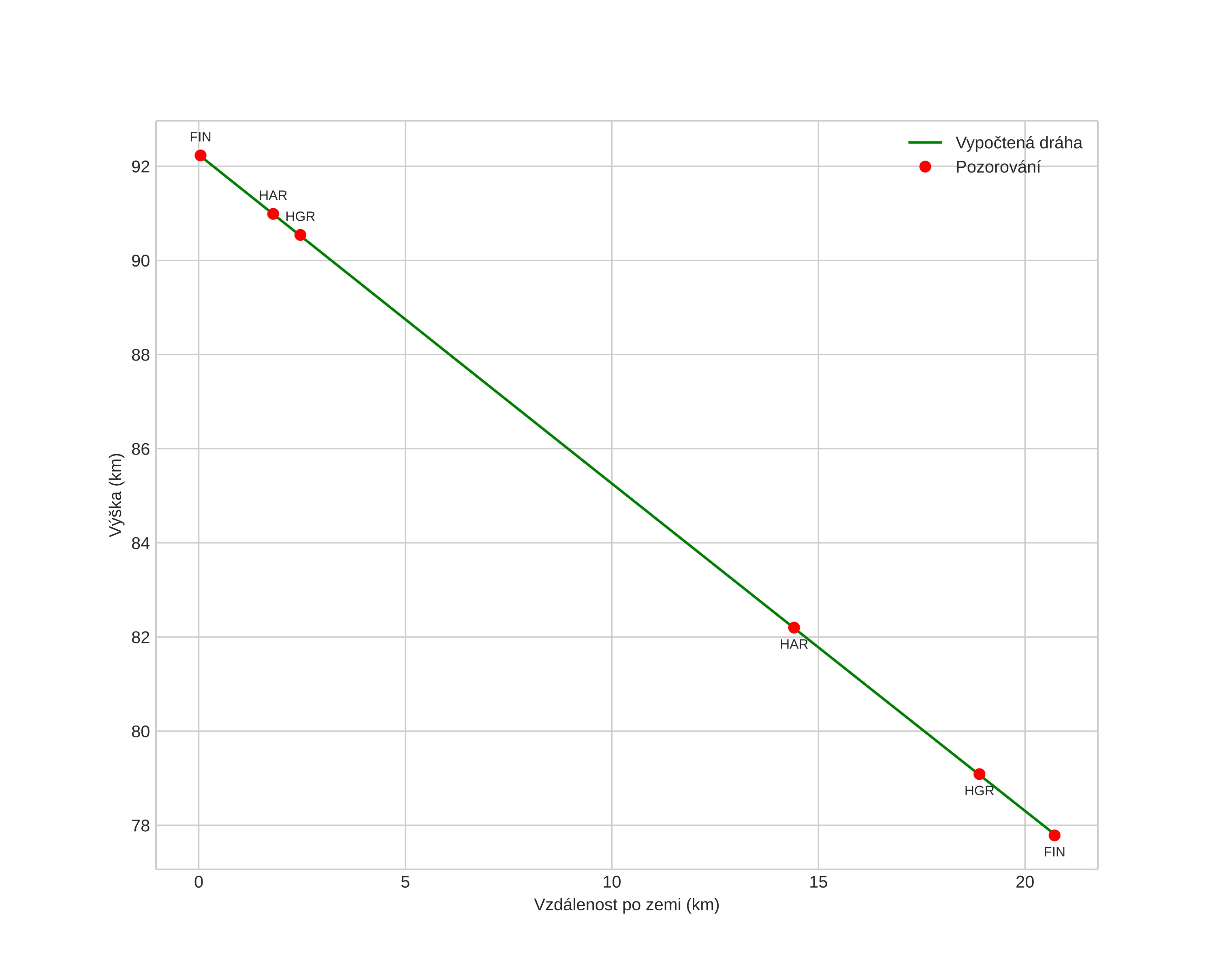
height profile
Atmosférická dráha meteoru:
Počáteční výška: 92,0 km
Konečná výška: 77,0 km
Počáteční poloha: 60,776N 12,777E
Konečná poloha: 60,837N 13,134E
Směr: 70,5°
Sklon: 36,2°
VstupnĂ­ rychlost: 30,2 km/s
Rektascenze radiantu: 09:30 (142,5°)
Deklinace radiantu: 20,6°
MeteorickĂ˝ roj: sporadickĂ˝
Elementy dráhy meteoroidu:
Vzdálenost v periheliu: 0,133 AU
Excentricita: 0,845
Sklon dráhy: 10,5°
Délka vzestupného uzlu: 284,8°
Argument perihelia: 332,5°
Střední anomálie: 308,3°
Epocha: 2025 JAN 05 05:27:37
orbit plot

NeinteraktivnĂ­ graf | InteraktivnĂ­ graf

position vs time
speed and acceleration