🇳🇴 🇬🇧 🇩🇪 🇨🇿 🇫🇮

Meteor Malungin yllä 2025-01-05 05:27:37 UTC

KML-tiedosto  |  Interaktiivinen kartta

Kartta näyttää meteorin suuntahavainnot. Vaaleammat viivat näyttävät suunnat havaintoasemilta meteorin ilmestyessä, ja tummemmat viivat näyttävät, missä se viimeksi nähtiin. Sininen nuoli näyttää meteorin näkyvän lennon.

static map
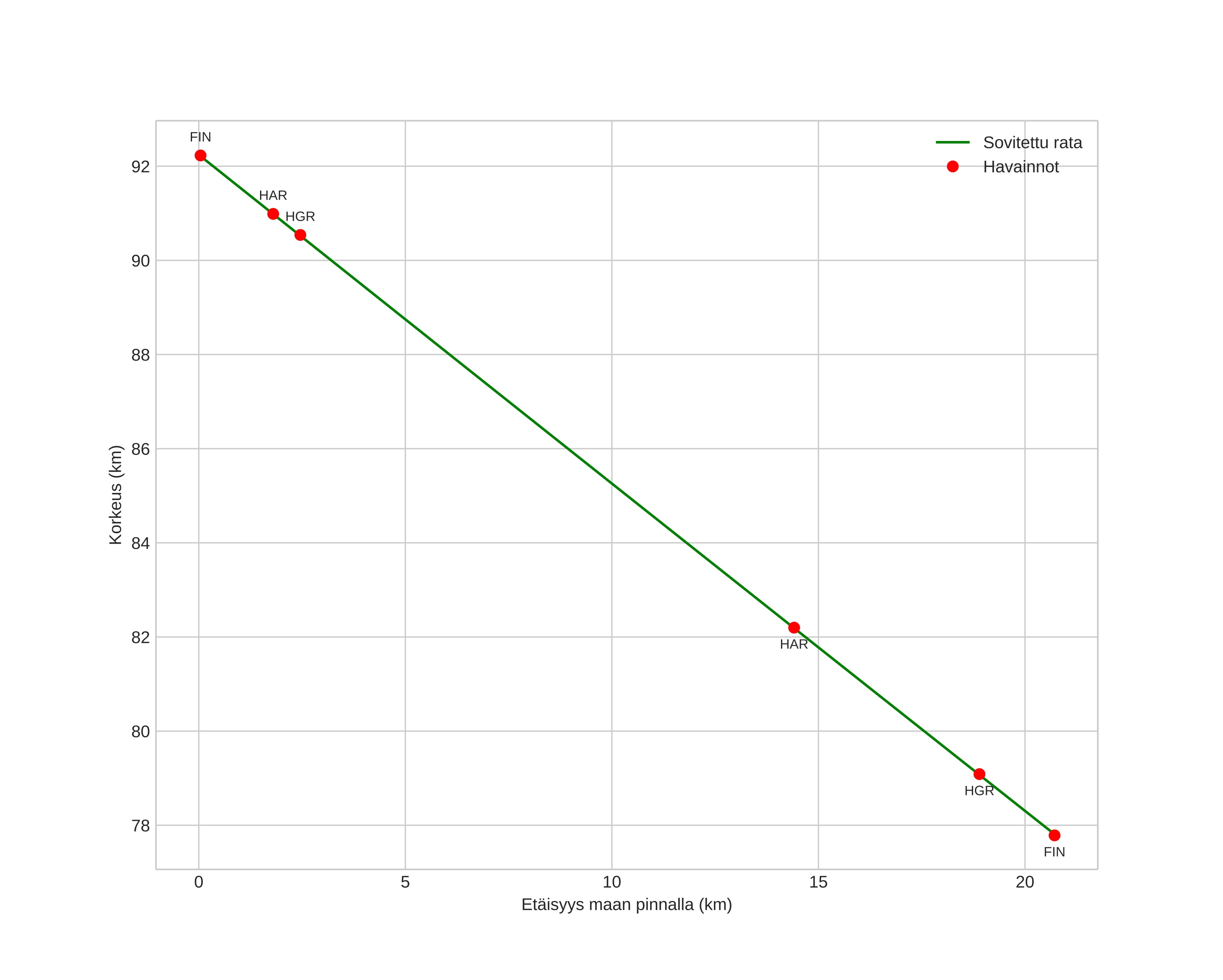
height profile
Meteorin ilmakehärata:
Alkukorkeus: 92,0 km
Loppukorkeus: 77,0 km
Alkupiste: 60,776N 12,777E
Loppupiste: 60,837N 13,134E
Suunta: 70,5°
Kallistuskulma: 36,2°
Tulonopeus: 30,2 km/s
Radiantin R,A,: 09:30 (142,5°)
Radiantin Dekl,: 20,6°
Meteoriparvi: Sporadinen
Meteoroidin rataelementit:
Perihelietäisyys: 0,133 AU
Eksentrisyys: 0,845
Inklinaatio: 10,5°
Nousevan solmun pituus: 284,8°
Perihelin argumentti: 332,5°
Keskianomalia: 308,3°
Epookki: 2025 JAN 05 05:27:37
orbit plot

Ei-interaktiivinen kuvaaja | Interaktiivinen kuvaaja

position vs time
speed and acceleration