🇳🇴 🇬🇧 🇩🇪 🇨🇿 🇫🇮

Meteor, poloha: Brumunddal 2025-01-10 23:21:56 UTC

Soubor KML  |  InteraktivnĂ­ mapa

Mapa zobrazuje dráhy meteoru. Světlejší čáry ukazují směry od pozorovacích stanic při objevení se meteoru a tmavší čáry, kde byl naposledy viděn. Modrá šipka značí viditelnou dráhu meteoru.

static map
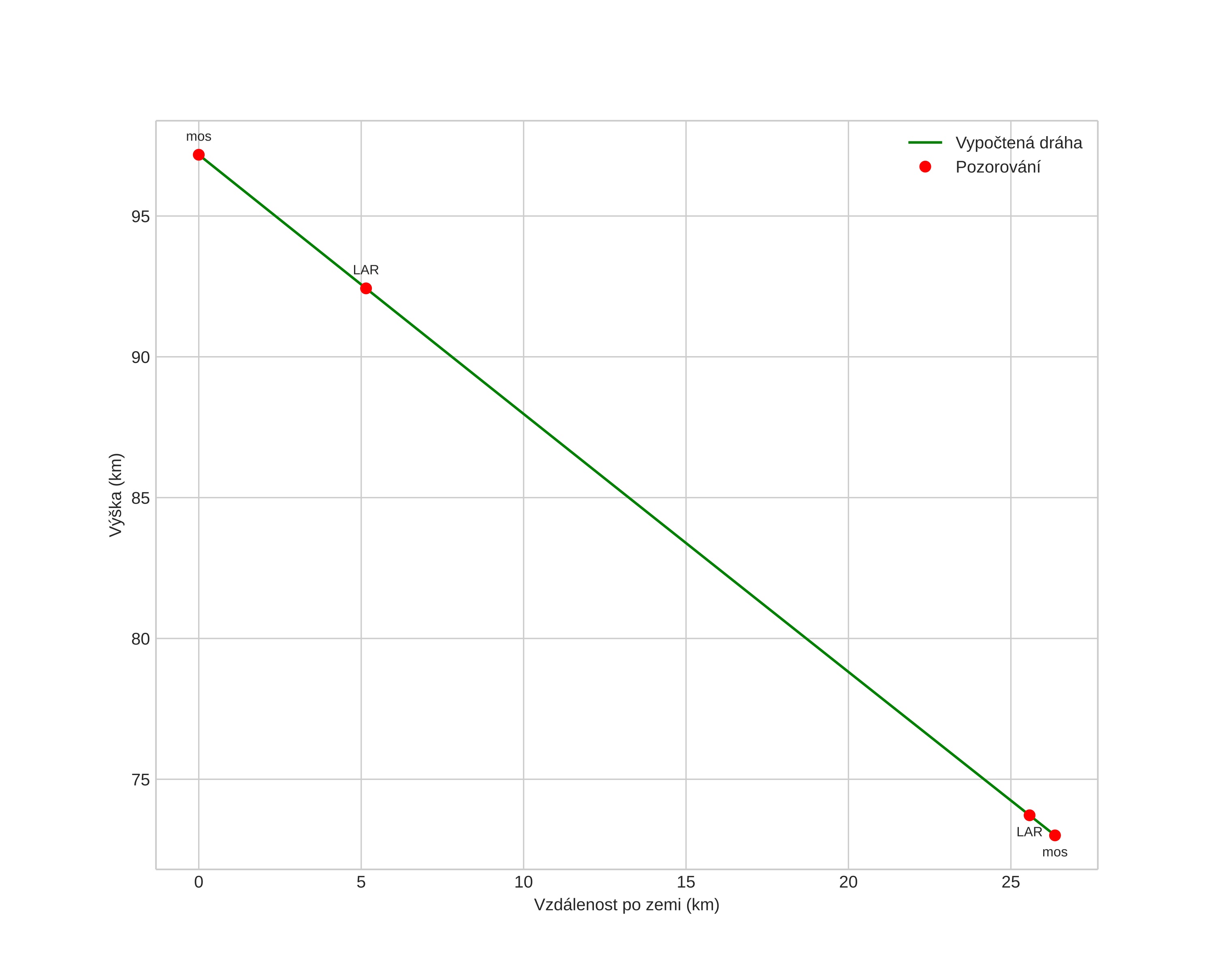
height profile
Atmosférická dráha meteoru:
Počáteční výška: 96,3 km
Konečná výška: 72,6 km
Počáteční poloha: 60,611N 11,138E
Konečná poloha: 60,819N 10,885E
Směr: 329,3°
Sklon: 41,4°
VstupnĂ­ rychlost: 42,2 km/s
Rektascenze radiantu: 09:00 (135,2°)
Deklinace radiantu: 14,3°
MeteorickĂ˝ roj: sporadickĂ˝
Elementy dráhy meteoroidu:
Vzdálenost v periheliu: 0,118 AU
Excentricita: 0,974
Sklon dráhy: 7,3°
Délka vzestupného uzlu: 110,7°
Argument perihelia: 141,6°
Střední anomálie: 356,7°
Epocha: 2025 JAN 10 23:21:56
orbit plot

NeinteraktivnĂ­ graf | InteraktivnĂ­ graf

position vs time
speed and acceleration