🇳🇴 🇬🇧 🇩🇪 🇨🇿 🇫🇮

Meteor Brumunddalin yllä 2025-01-10 23:21:56 UTC

KML-tiedosto  |  Interaktiivinen kartta

Kartta näyttää meteorin suuntahavainnot. Vaaleammat viivat näyttävät suunnat havaintoasemilta meteorin ilmestyessä, ja tummemmat viivat näyttävät, missä se viimeksi nähtiin. Sininen nuoli näyttää meteorin näkyvän lennon.

static map
height profile
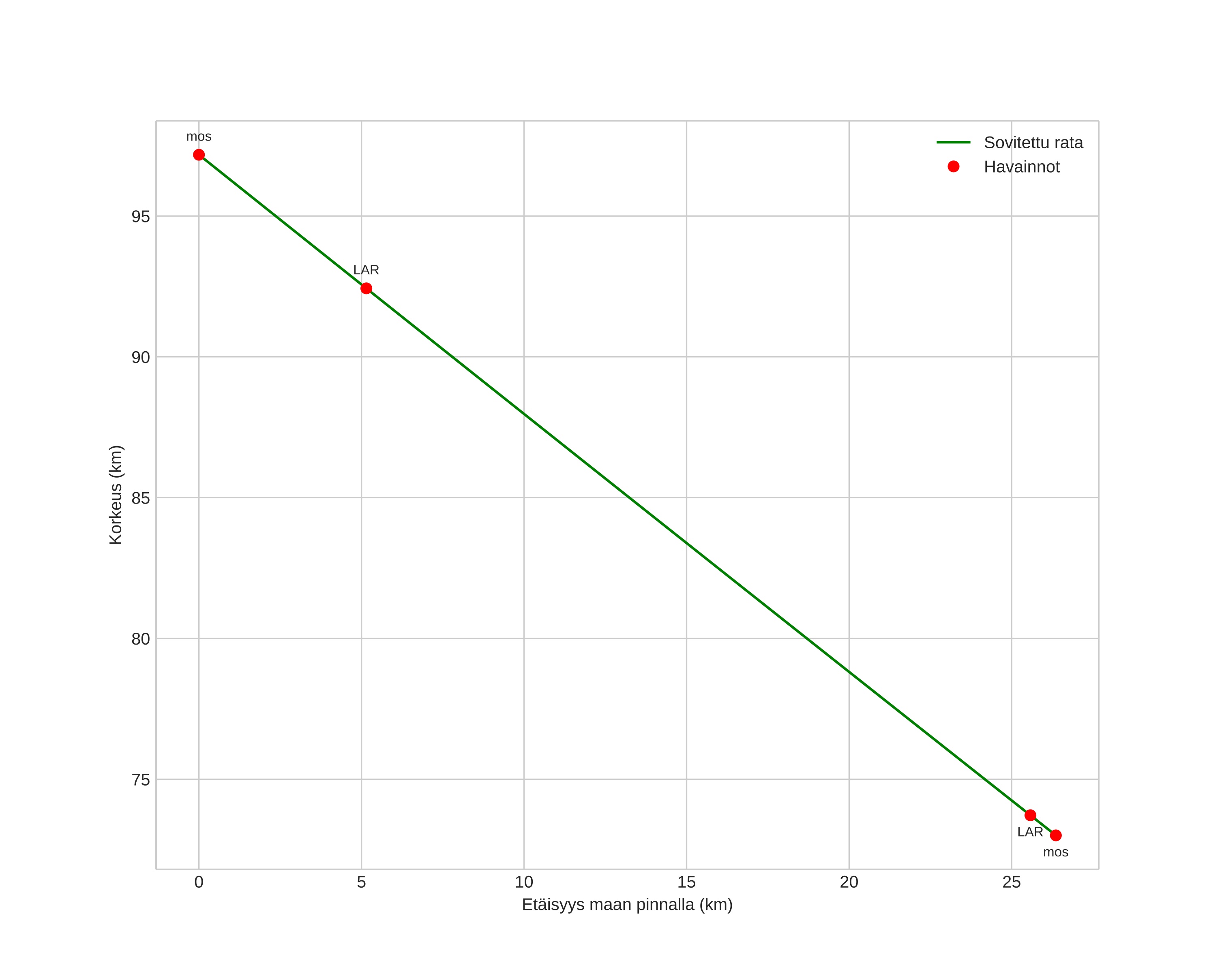
Meteorin ilmakehärata:
Alkukorkeus: 96,3 km
Loppukorkeus: 72,6 km
Alkupiste: 60,611N 11,138E
Loppupiste: 60,819N 10,885E
Suunta: 329,3°
Kallistuskulma: 41,4°
Tulonopeus: 42,2 km/s
Radiantin R,A,: 09:00 (135,2°)
Radiantin Dekl,: 14,3°
Meteoriparvi: Sporadinen
Meteoroidin rataelementit:
Perihelietäisyys: 0,118 AU
Eksentrisyys: 0,974
Inklinaatio: 7,3°
Nousevan solmun pituus: 110,7°
Perihelin argumentti: 141,6°
Keskianomalia: 356,7°
Epookki: 2025 JAN 10 23:21:56
orbit plot

Ei-interaktiivinen kuvaaja | Interaktiivinen kuvaaja

position vs time
speed and acceleration