🇳🇴 🇬🇧 🇩🇪 🇨🇿 🇫🇮

Meteor, poloha: Molkom 2025-01-12 05:31:26 UTC

Soubor KML  |  InteraktivnĂ­ mapa

Mapa zobrazuje dráhy meteoru. Světlejší čáry ukazují směry od pozorovacích stanic při objevení se meteoru a tmavší čáry, kde byl naposledy viděn. Modrá šipka značí viditelnou dráhu meteoru.

static map
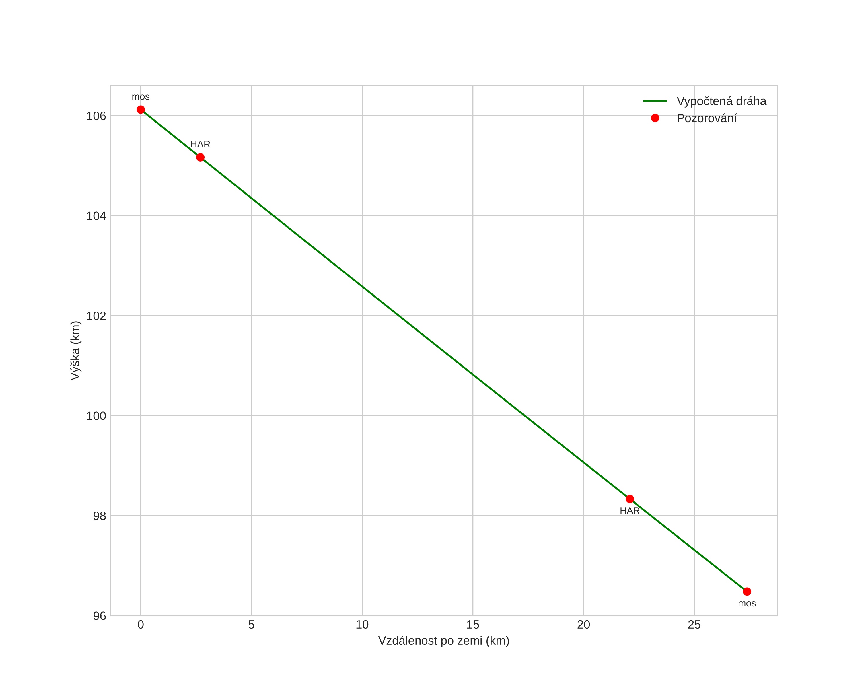
height profile
Atmosférická dráha meteoru:
Počáteční výška: 104,8 km
Konečná výška: 95,4 km
Počáteční poloha: 59,361N 13,981E
Konečná poloha: 59,570N 13,836E
Směr: 340,6°
Sklon: 20,9°
VstupnĂ­ rychlost: 67,2 km/s
Rektascenze radiantu: 15:06 (226,5°)
Deklinace radiantu: -8,6°
MeteorickĂ˝ roj: sporadickĂ˝
Elementy dráhy meteoroidu:
Vzdálenost v periheliu: 0,536 AU
Excentricita: 0,938
Sklon dráhy: 161,5°
Délka vzestupného uzlu: 291,9°
Argument perihelia: 93,5°
Střední anomálie: 1,5°
Epocha: 2025 JAN 12 05:31:26
orbit plot

NeinteraktivnĂ­ graf | InteraktivnĂ­ graf

position vs time
speed and acceleration