🇳🇴 🇬🇧 🇩🇪 🇨🇿 🇫🇮

Meteor Molkomin yllä 2025-01-12 05:31:26 UTC

KML-tiedosto  |  Interaktiivinen kartta

Kartta näyttää meteorin suuntahavainnot. Vaaleammat viivat näyttävät suunnat havaintoasemilta meteorin ilmestyessä, ja tummemmat viivat näyttävät, missä se viimeksi nähtiin. Sininen nuoli näyttää meteorin näkyvän lennon.

static map
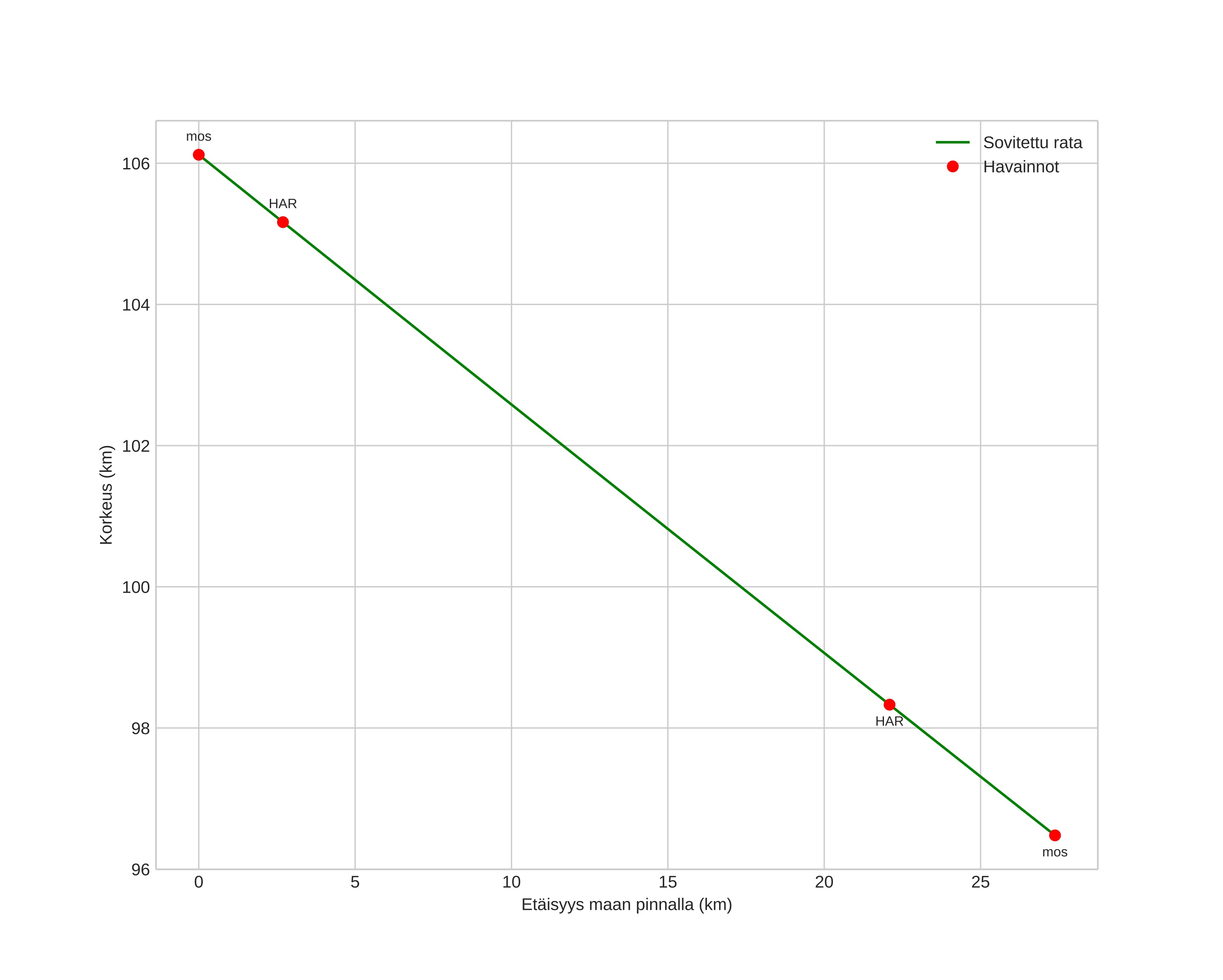
height profile
Meteorin ilmakehärata:
Alkukorkeus: 104,8 km
Loppukorkeus: 95,4 km
Alkupiste: 59,361N 13,981E
Loppupiste: 59,570N 13,836E
Suunta: 340,6°
Kallistuskulma: 20,9°
Tulonopeus: 67,2 km/s
Radiantin R,A,: 15:06 (226,5°)
Radiantin Dekl,: -8,6°
Meteoriparvi: Sporadinen
Meteoroidin rataelementit:
Perihelietäisyys: 0,536 AU
Eksentrisyys: 0,938
Inklinaatio: 161,5°
Nousevan solmun pituus: 291,9°
Perihelin argumentti: 93,5°
Keskianomalia: 1,5°
Epookki: 2025 JAN 12 05:31:26
orbit plot

Ei-interaktiivinen kuvaaja | Interaktiivinen kuvaaja

position vs time
speed and acceleration