🇳🇴 🇬🇧 🇩🇪 🇨🇿 🇫🇮

Meteor, poloha: Tofte 2025-01-15 01:17:47 UTC

Soubor KML  |  InteraktivnĂ­ mapa

Mapa zobrazuje dráhy meteoru. Světlejší čáry ukazují směry od pozorovacích stanic při objevení se meteoru a tmavší čáry, kde byl naposledy viděn. Modrá šipka značí viditelnou dráhu meteoru.

static map
height profile
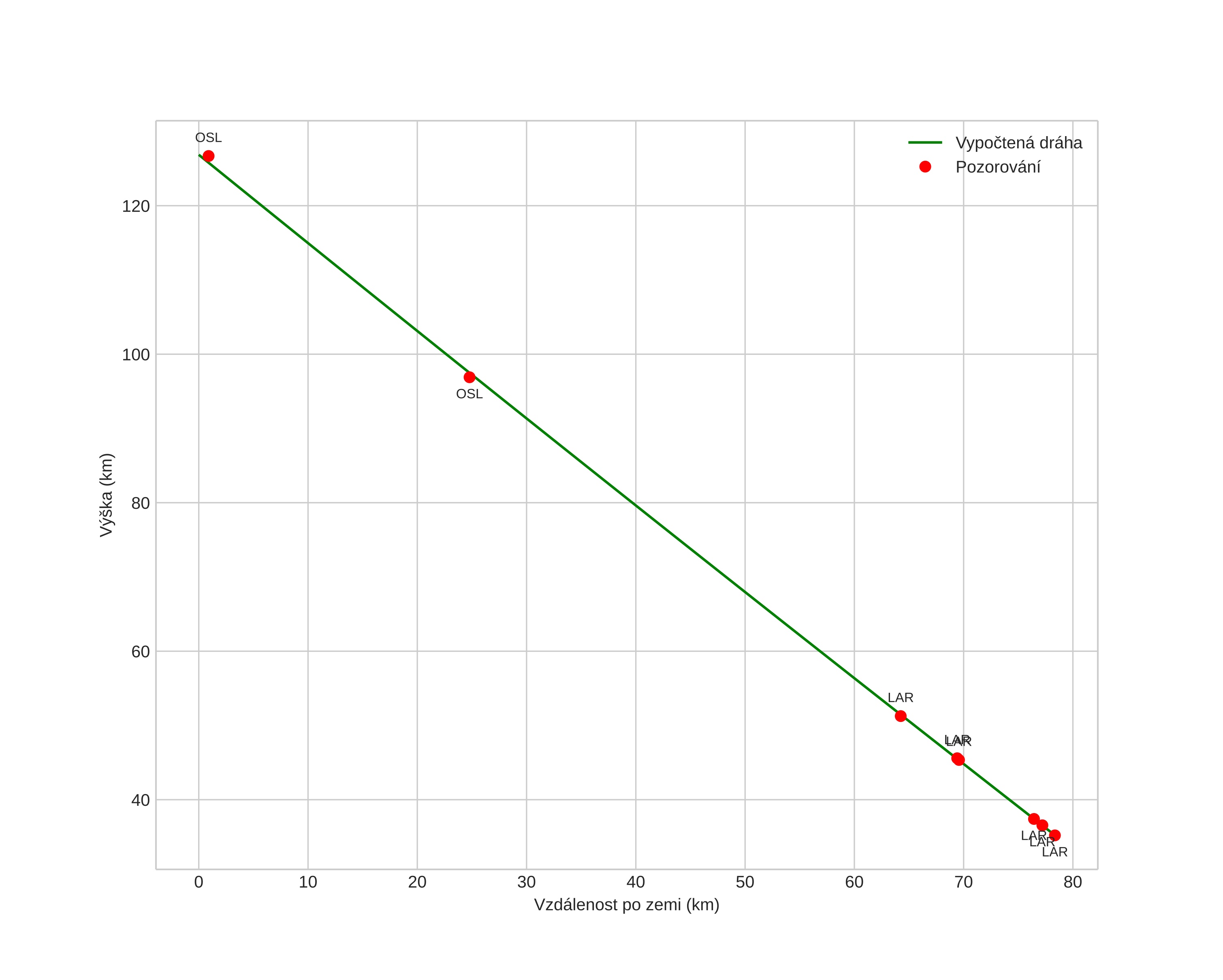
Atmosférická dráha meteoru:
Počáteční výška: 126,5 km
Konečná výška: 35,1 km
Počáteční poloha: 60,124N 11,159E
Konečná poloha: 59,508N 10,481E
Směr: 209,2°
Sklon: 49,4°
VstupnĂ­ rychlost: 15,5 km/s
Rektascenze radiantu: 17:54 (268,7°)
Deklinace radiantu: 65,3°
MeteorickĂ˝ roj: sporadickĂ˝
Elementy dráhy meteoroidu:
Vzdálenost v periheliu: 0,983 AU
Excentricita: 0,132
Sklon dráhy: 19,7°
Délka vzestupného uzlu: 294,8°
Argument perihelia: 175,8°
Střední anomálie: 3,2°
Epocha: 2025 JAN 15 01:17:47
orbit plot

NeinteraktivnĂ­ graf | InteraktivnĂ­ graf

position vs time
speed and acceleration