🇳🇴 🇬🇧 🇩🇪 🇨🇿 🇫🇮

Meteor Toften yllä 2025-01-15 01:17:47 UTC

KML-tiedosto  |  Interaktiivinen kartta

Kartta näyttää meteorin suuntahavainnot. Vaaleammat viivat näyttävät suunnat havaintoasemilta meteorin ilmestyessä, ja tummemmat viivat näyttävät, missä se viimeksi nähtiin. Sininen nuoli näyttää meteorin näkyvän lennon.

static map
height profile
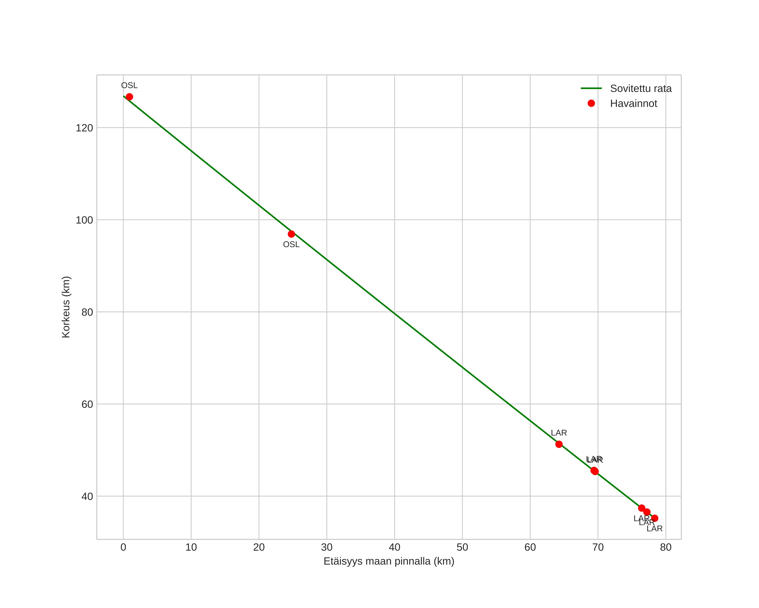
Meteorin ilmakehärata:
Alkukorkeus: 126,5 km
Loppukorkeus: 35,1 km
Alkupiste: 60,124N 11,159E
Loppupiste: 59,508N 10,481E
Suunta: 209,2°
Kallistuskulma: 49,4°
Tulonopeus: 15,5 km/s
Radiantin R,A,: 17:54 (268,7°)
Radiantin Dekl,: 65,3°
Meteoriparvi: Sporadinen
Meteoroidin rataelementit:
Perihelietäisyys: 0,983 AU
Eksentrisyys: 0,132
Inklinaatio: 19,7°
Nousevan solmun pituus: 294,8°
Perihelin argumentti: 175,8°
Keskianomalia: 3,2°
Epookki: 2025 JAN 15 01:17:47
orbit plot

Ei-interaktiivinen kuvaaja | Interaktiivinen kuvaaja

position vs time
speed and acceleration