🇳🇴 🇬🇧 🇩🇪 🇨🇿 🇫🇮

Meteor, poloha: Spydeberg 2025-01-17 16:36:52 UTC

Soubor KML  |  InteraktivnĂ­ mapa

Mapa zobrazuje dráhy meteoru. Světlejší čáry ukazují směry od pozorovacích stanic při objevení se meteoru a tmavší čáry, kde byl naposledy viděn. Modrá šipka značí viditelnou dráhu meteoru.

static map
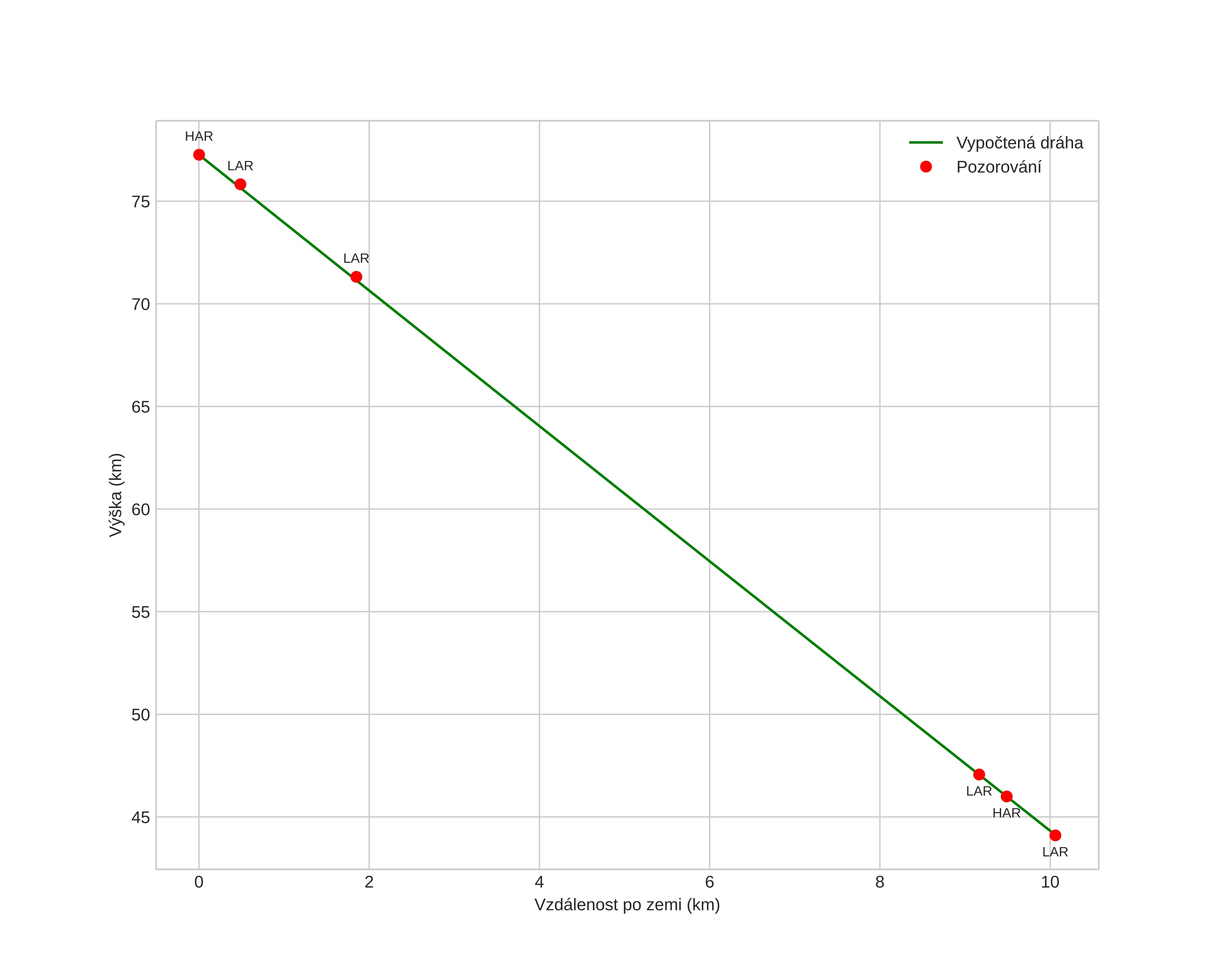
height profile
Atmosférická dráha meteoru:
Počáteční výška: 78,7 km
Konečná výška: 44,1 km
Počáteční poloha: 59,486N 10,908E
Konečná poloha: 59,541N 11,054E
Směr: 53,6°
Sklon: 73,5°
VstupnĂ­ rychlost: 14,5 km/s
Rektascenze radiantu: 23:30 (352,7°)
Deklinace radiantu: 44,3°
MeteorickĂ˝ roj: sporadickĂ˝
Elementy dráhy meteoroidu:
Vzdálenost v periheliu: 0,981 AU
Excentricita: 0,570
Sklon dráhy: 9,8°
Délka vzestupného uzlu: 297,5°
Argument perihelia: 173,3°
Střední anomálie: 1,5°
Epocha: 2025 JAN 17 16:36:52
orbit plot

NeinteraktivnĂ­ graf | InteraktivnĂ­ graf

position vs time
speed and acceleration

Gaustatoppen () cam3

fireball
gnomonic
Videa
Obrázky
• Původní
Textové soubory
• Detekce
• Souřadnice
• Protokol
Jasnost

Harestua (HAR) cam3


gnomonic
Videa
• Gnomonická
• Gnomonická se souřadnicemi
• Původní
• Původní se souřadnicemi
Obrázky
• Gnomonická
• Gnomonická se souřadnicemi
• Původní
• Původní se souřadnicemi
Textové soubory
• Detekce
• Pozorování
• Souřadnice
• Protokol
Jasnost