🇳🇴 🇬🇧 🇩🇪 🇨🇿 🇫🇮

Meteor Spydebergin yllä 2025-01-17 16:36:52 UTC

KML-tiedosto  |  Interaktiivinen kartta

Kartta näyttää meteorin suuntahavainnot. Vaaleammat viivat näyttävät suunnat havaintoasemilta meteorin ilmestyessä, ja tummemmat viivat näyttävät, missä se viimeksi nähtiin. Sininen nuoli näyttää meteorin näkyvän lennon.

static map
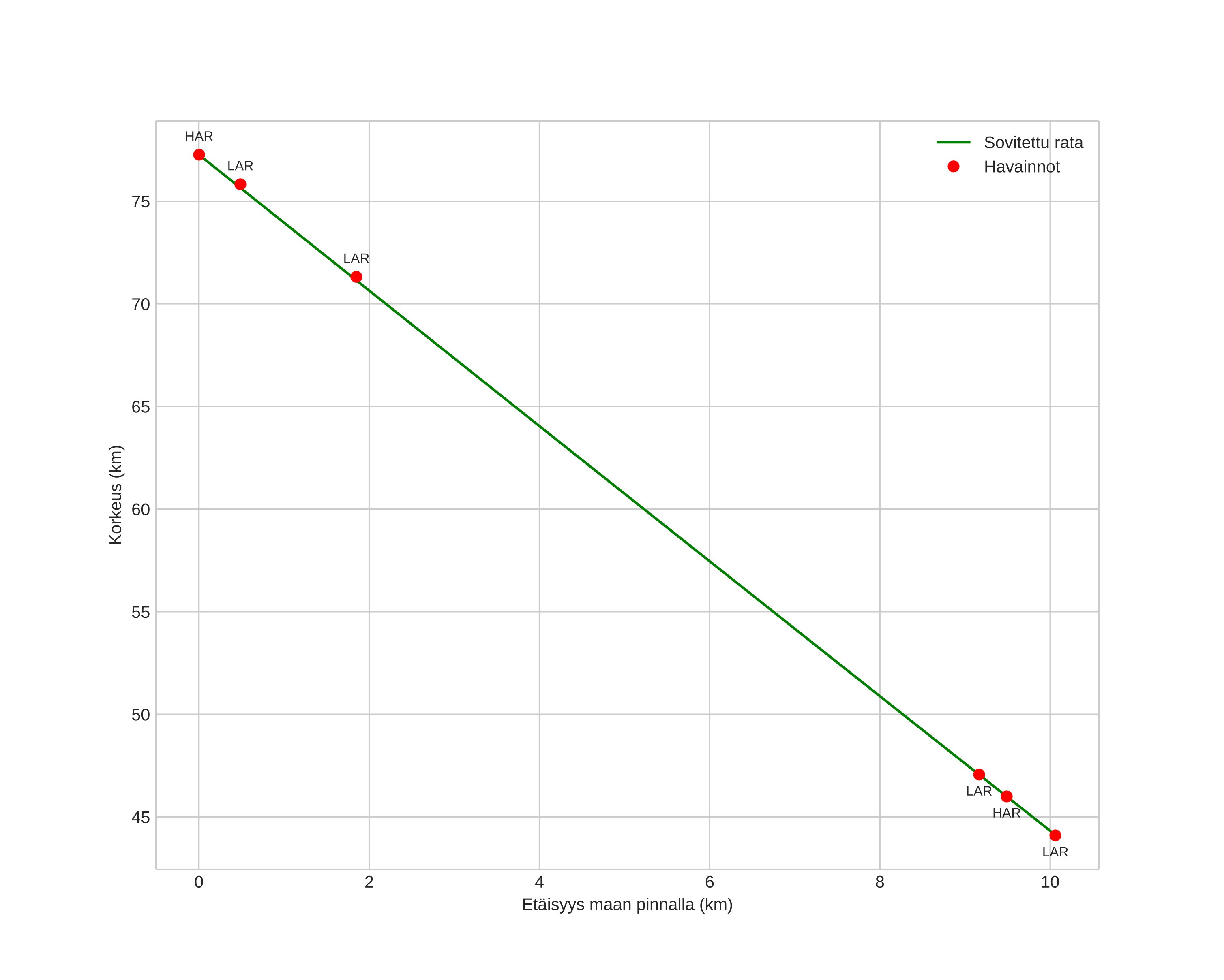
height profile
Meteorin ilmakehärata:
Alkukorkeus: 78,7 km
Loppukorkeus: 44,1 km
Alkupiste: 59,486N 10,908E
Loppupiste: 59,541N 11,054E
Suunta: 53,6°
Kallistuskulma: 73,5°
Tulonopeus: 14,5 km/s
Radiantin R,A,: 23:30 (352,7°)
Radiantin Dekl,: 44,3°
Meteoriparvi: Sporadinen
Meteoroidin rataelementit:
Perihelietäisyys: 0,981 AU
Eksentrisyys: 0,570
Inklinaatio: 9,8°
Nousevan solmun pituus: 297,5°
Perihelin argumentti: 173,3°
Keskianomalia: 1,5°
Epookki: 2025 JAN 17 16:36:52
orbit plot

Ei-interaktiivinen kuvaaja | Interaktiivinen kuvaaja

position vs time
speed and acceleration

Gaustatoppen () cam3

fireball
gnomonic
Videot:
Kuvat:
• Alkuperäinen
Tekstitiedostot:
• Havaintoraportti
• Koordinaatit
• Loki
Kirkkaus

Harestua (HAR) cam3


gnomonic
Videot:
• Gnomoninen
• Gnomoninen koordinaateilla
• Alkuperäinen
• Alkuperäinen koordinaateilla
Kuvat:
• Gnomoninen
• Gnomoninen koordinaateilla
• Alkuperäinen
• Alkuperäinen koordinaateilla
Tekstitiedostot:
• Havaintoraportti
• Observaatio
• Koordinaatit
• Loki
Kirkkaus