🇳🇴 🇬🇧 🇩🇪 🇨🇿 🇫🇮

Meteor, poloha: Hovden 2025-01-17 20:35:07 UTC

Soubor KML  |  InteraktivnĂ­ mapa

Mapa zobrazuje dráhy meteoru. Světlejší čáry ukazují směry od pozorovacích stanic při objevení se meteoru a tmavší čáry, kde byl naposledy viděn. Modrá šipka značí viditelnou dráhu meteoru.

static map
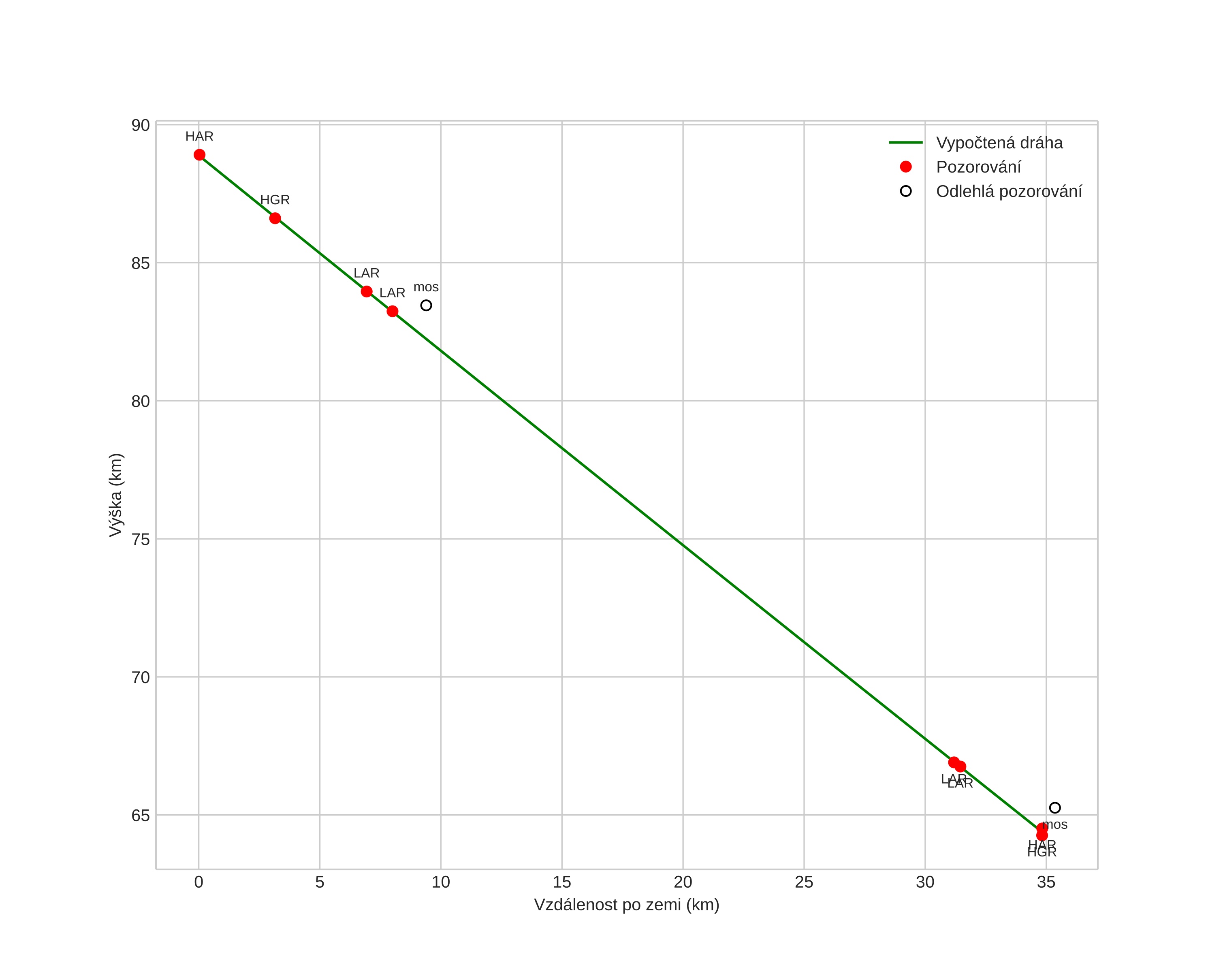
height profile
Atmosférická dráha meteoru:
Počáteční výška: 88,8 km
Konečná výška: 64,4 km
Počáteční poloha: 59,332N 8,005E
Konečná poloha: 59,448N 7,439E
Směr: 292,2°
Sklon: 35,2°
VstupnĂ­ rychlost: 28,3 km/s
Rektascenze radiantu: 08:33 (128,3°)
Deklinace radiantu: 17,8°
MeteorickĂ˝ roj: sporadickĂ˝
Elementy dráhy meteoroidu:
Vzdálenost v periheliu: 0,429 AU
Excentricita: 0,779
Sklon dráhy: 1,0°
Délka vzestupného uzlu: 117,8°
Argument perihelia: 106,6°
Střední anomálie: 343,8°
Epocha: 2025 JAN 17 20:35:07
orbit plot

NeinteraktivnĂ­ graf | InteraktivnĂ­ graf

position vs time
speed and acceleration