🇳🇴 🇬🇧 🇩🇪 🇨🇿 🇫🇮

Meteor Hovdenin yllä 2025-01-17 20:35:07 UTC

KML-tiedosto  |  Interaktiivinen kartta

Kartta näyttää meteorin suuntahavainnot. Vaaleammat viivat näyttävät suunnat havaintoasemilta meteorin ilmestyessä, ja tummemmat viivat näyttävät, missä se viimeksi nähtiin. Sininen nuoli näyttää meteorin näkyvän lennon.

static map
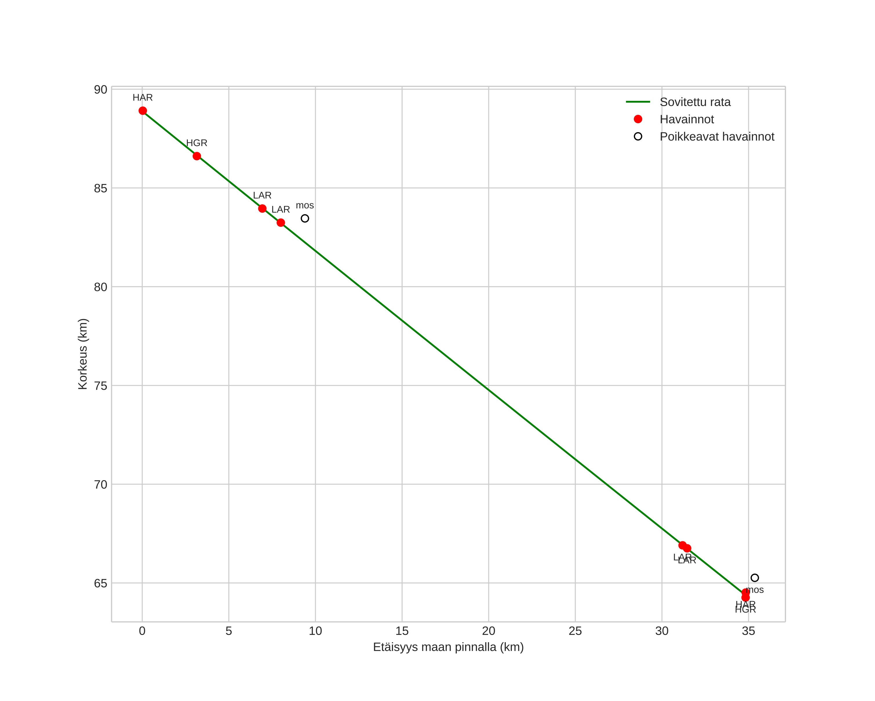
height profile
Meteorin ilmakehärata:
Alkukorkeus: 88,8 km
Loppukorkeus: 64,4 km
Alkupiste: 59,332N 8,005E
Loppupiste: 59,448N 7,439E
Suunta: 292,2°
Kallistuskulma: 35,2°
Tulonopeus: 28,3 km/s
Radiantin R,A,: 08:33 (128,3°)
Radiantin Dekl,: 17,8°
Meteoriparvi: Sporadinen
Meteoroidin rataelementit:
Perihelietäisyys: 0,429 AU
Eksentrisyys: 0,779
Inklinaatio: 1,0°
Nousevan solmun pituus: 117,8°
Perihelin argumentti: 106,6°
Keskianomalia: 343,8°
Epookki: 2025 JAN 17 20:35:07
orbit plot

Ei-interaktiivinen kuvaaja | Interaktiivinen kuvaaja

position vs time
speed and acceleration