🇳🇴 🇬🇧 🇩🇪 🇨🇿 🇫🇮

Meteor, poloha: Edsbyn 2025-01-18 02:31:28 UTC

Soubor KML  |  InteraktivnĂ­ mapa

Mapa zobrazuje dráhy meteoru. Světlejší čáry ukazují směry od pozorovacích stanic při objevení se meteoru a tmavší čáry, kde byl naposledy viděn. Modrá šipka značí viditelnou dráhu meteoru.

static map
height profile
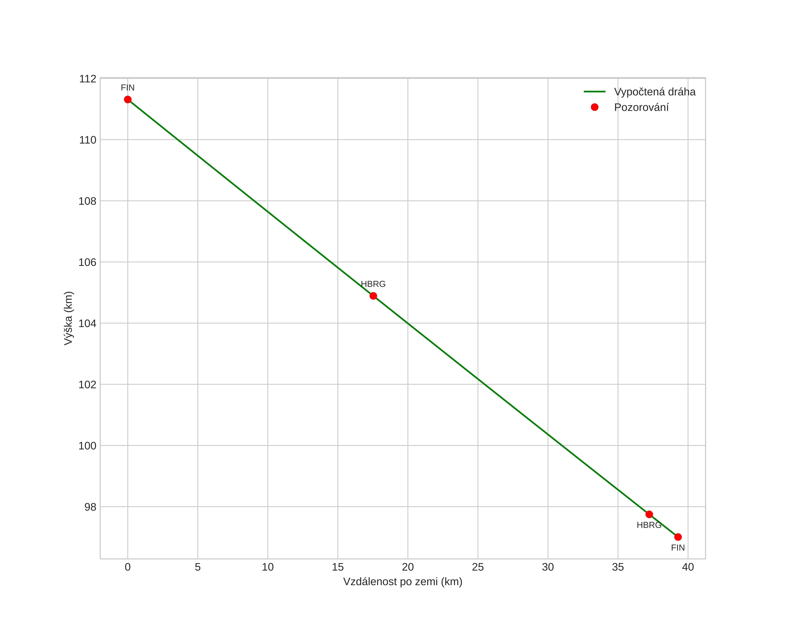
Atmosférická dráha meteoru:
Počáteční výška: 111,3 km
Konečná výška: 97,8 km
Počáteční poloha: 61,065N 16,365E
Konečná poloha: 61,303N 15,875E
Směr: 315,4°
Sklon: 19,9°
VstupnĂ­ rychlost: 58,7 km/s
Rektascenze radiantu: 14:11 (212,9°)
Deklinace radiantu: -2,1°
MeteorickĂ˝ roj: sporadickĂ˝
Elementy dráhy meteoroidu:
Vzdálenost v periheliu: 0,744 AU
Excentricita: 0,165
Sklon dráhy: 158,2°
Délka vzestupného uzlu: 297,9°
Argument perihelia: 43,8°
Střední anomálie: 121,9°
Epocha: 2025 JAN 18 02:31:28
orbit plot

NeinteraktivnĂ­ graf | InteraktivnĂ­ graf

position vs time
speed and acceleration