🇳🇴 🇬🇧 🇩🇪 🇨🇿 🇫🇮

Meteor Edsbynin yllä 2025-01-18 02:31:28 UTC

KML-tiedosto  |  Interaktiivinen kartta

Kartta näyttää meteorin suuntahavainnot. Vaaleammat viivat näyttävät suunnat havaintoasemilta meteorin ilmestyessä, ja tummemmat viivat näyttävät, missä se viimeksi nähtiin. Sininen nuoli näyttää meteorin näkyvän lennon.

static map
height profile
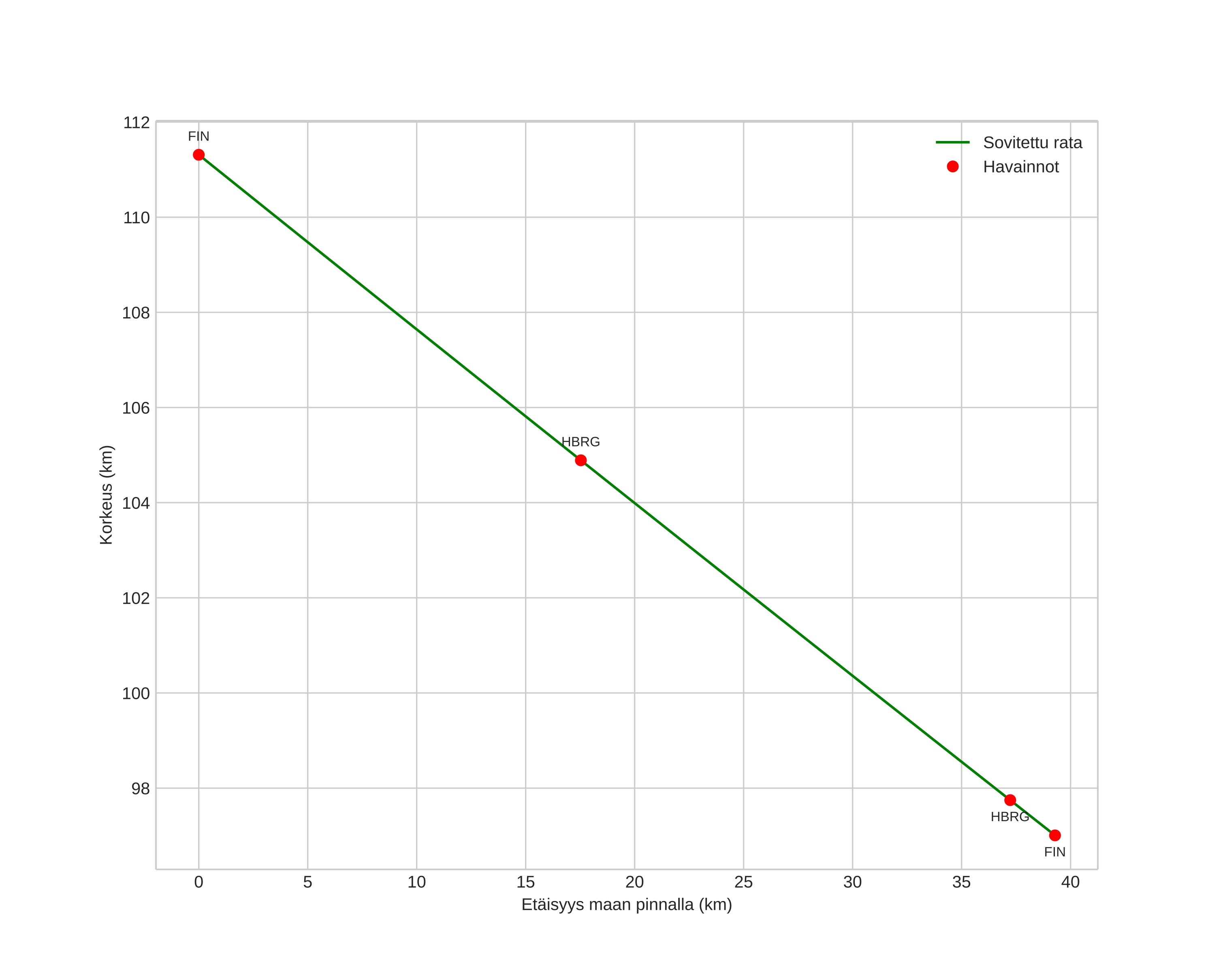
Meteorin ilmakehärata:
Alkukorkeus: 111,3 km
Loppukorkeus: 97,8 km
Alkupiste: 61,065N 16,365E
Loppupiste: 61,303N 15,875E
Suunta: 315,4°
Kallistuskulma: 19,9°
Tulonopeus: 58,7 km/s
Radiantin R,A,: 14:11 (212,9°)
Radiantin Dekl,: -2,1°
Meteoriparvi: Sporadinen
Meteoroidin rataelementit:
Perihelietäisyys: 0,744 AU
Eksentrisyys: 0,165
Inklinaatio: 158,2°
Nousevan solmun pituus: 297,9°
Perihelin argumentti: 43,8°
Keskianomalia: 121,9°
Epookki: 2025 JAN 18 02:31:28
orbit plot

Ei-interaktiivinen kuvaaja | Interaktiivinen kuvaaja

position vs time
speed and acceleration