🇳🇴 🇬🇧 🇩🇪 🇨🇿 🇫🇮

Meteor, poloha: Abborrberget 2025-01-18 04:03:54 UTC

Soubor KML  |  InteraktivnĂ­ mapa

Mapa zobrazuje dráhy meteoru. Světlejší čáry ukazují směry od pozorovacích stanic při objevení se meteoru a tmavší čáry, kde byl naposledy viděn. Modrá šipka značí viditelnou dráhu meteoru.

static map
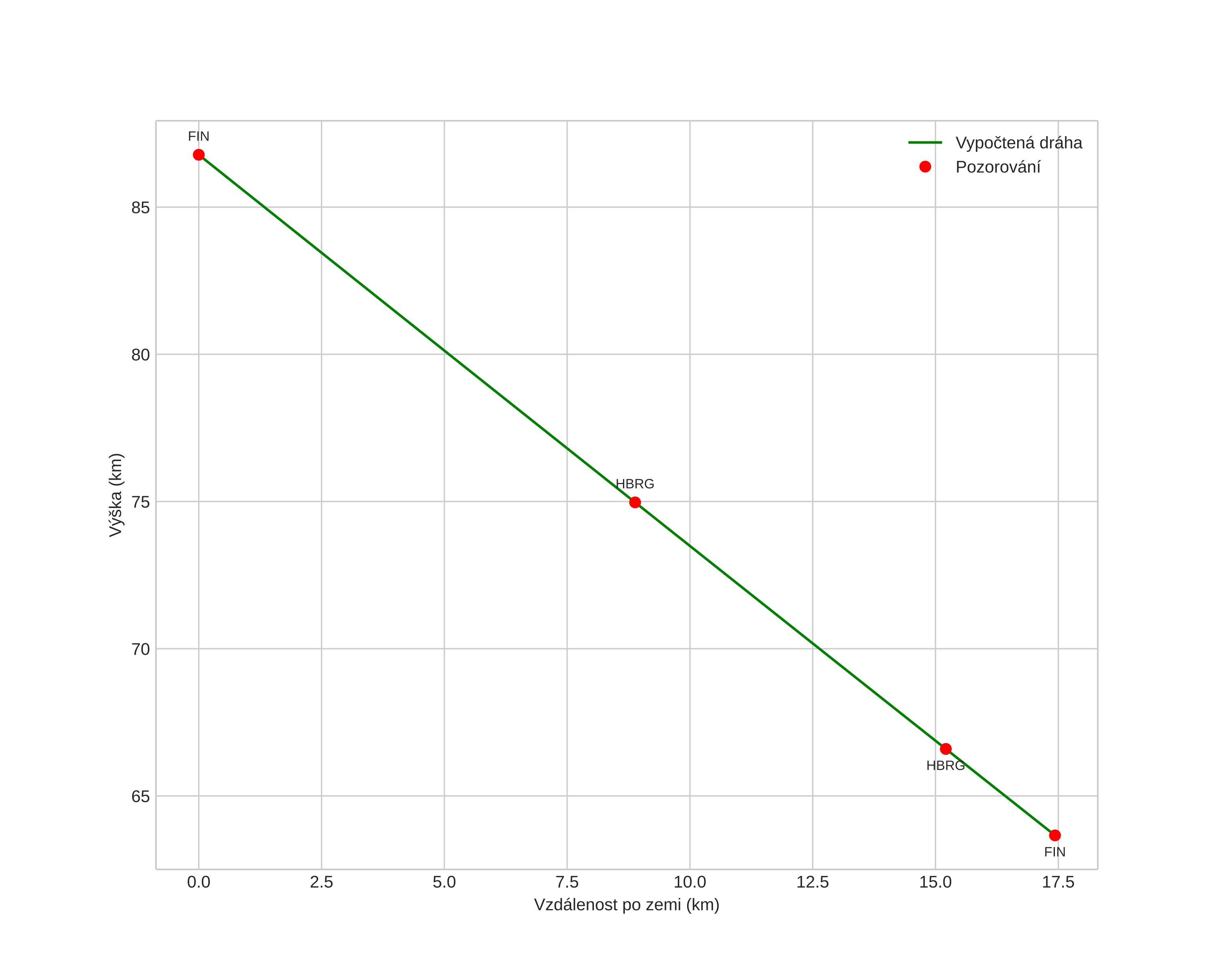
height profile
Atmosférická dráha meteoru:
Počáteční výška: 87,1 km
Konečná výška: 63,7 km
Počáteční poloha: 60,302N 14,894E
Konečná poloha: 60,149N 14,808E
Směr: 195,7°
Sklon: 53,0°
VstupnĂ­ rychlost: 18,8 km/s
Rektascenze radiantu: 22:01 (330,3°)
Deklinace radiantu: 76,0°
MeteorickĂ˝ roj: sporadickĂ˝
Elementy dráhy meteoroidu:
Vzdálenost v periheliu: 0,980 AU
Excentricita: 0,591
Sklon dráhy: 22,1°
Délka vzestupného uzlu: 298,0°
Argument perihelia: 188,4°
Střední anomálie: 358,3°
Epocha: 2025 JAN 18 04:03:54
orbit plot

NeinteraktivnĂ­ graf | InteraktivnĂ­ graf

position vs time
speed and acceleration