🇳🇴 🇬🇧 🇩🇪 🇨🇿 🇫🇮

Meteor Abborrbergetin yllä 2025-01-18 04:03:54 UTC

KML-tiedosto  |  Interaktiivinen kartta

Kartta näyttää meteorin suuntahavainnot. Vaaleammat viivat näyttävät suunnat havaintoasemilta meteorin ilmestyessä, ja tummemmat viivat näyttävät, missä se viimeksi nähtiin. Sininen nuoli näyttää meteorin näkyvän lennon.

static map
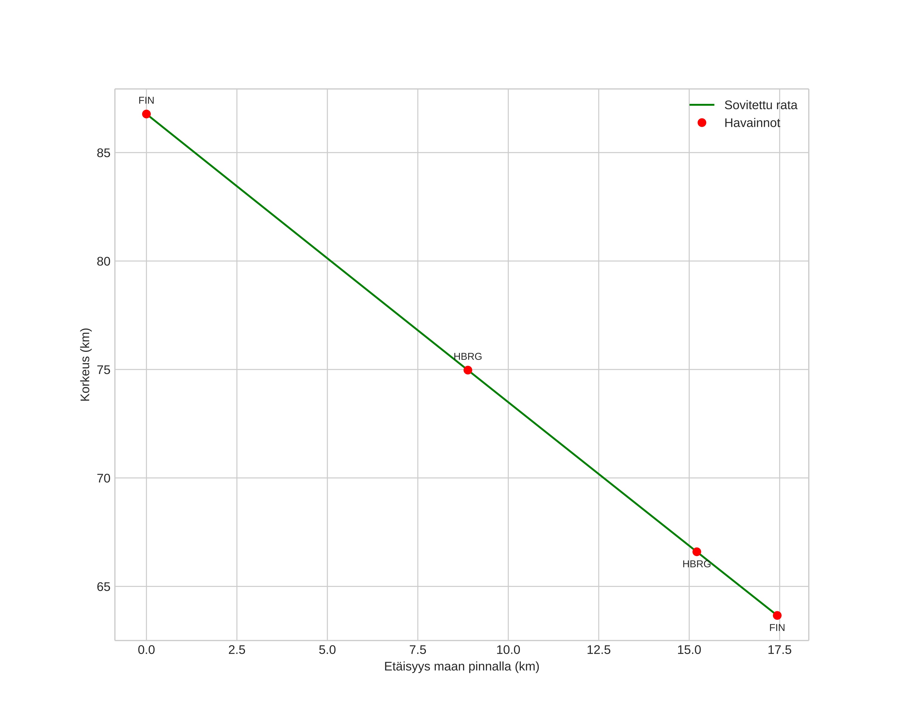
height profile
Meteorin ilmakehärata:
Alkukorkeus: 87,1 km
Loppukorkeus: 63,7 km
Alkupiste: 60,302N 14,894E
Loppupiste: 60,149N 14,808E
Suunta: 195,7°
Kallistuskulma: 53,0°
Tulonopeus: 18,8 km/s
Radiantin R,A,: 22:01 (330,3°)
Radiantin Dekl,: 76,0°
Meteoriparvi: Sporadinen
Meteoroidin rataelementit:
Perihelietäisyys: 0,980 AU
Eksentrisyys: 0,591
Inklinaatio: 22,1°
Nousevan solmun pituus: 298,0°
Perihelin argumentti: 188,4°
Keskianomalia: 358,3°
Epookki: 2025 JAN 18 04:03:54
orbit plot

Ei-interaktiivinen kuvaaja | Interaktiivinen kuvaaja

position vs time
speed and acceleration