🇳🇴 🇬🇧 🇩🇪 🇨🇿 🇫🇮

Meteor, poloha: Flisa 2025-01-19 06:14:24 UTC

Soubor KML  |  InteraktivnĂ­ mapa

Mapa zobrazuje dráhy meteoru. Světlejší čáry ukazují směry od pozorovacích stanic při objevení se meteoru a tmavší čáry, kde byl naposledy viděn. Modrá šipka značí viditelnou dráhu meteoru.

static map
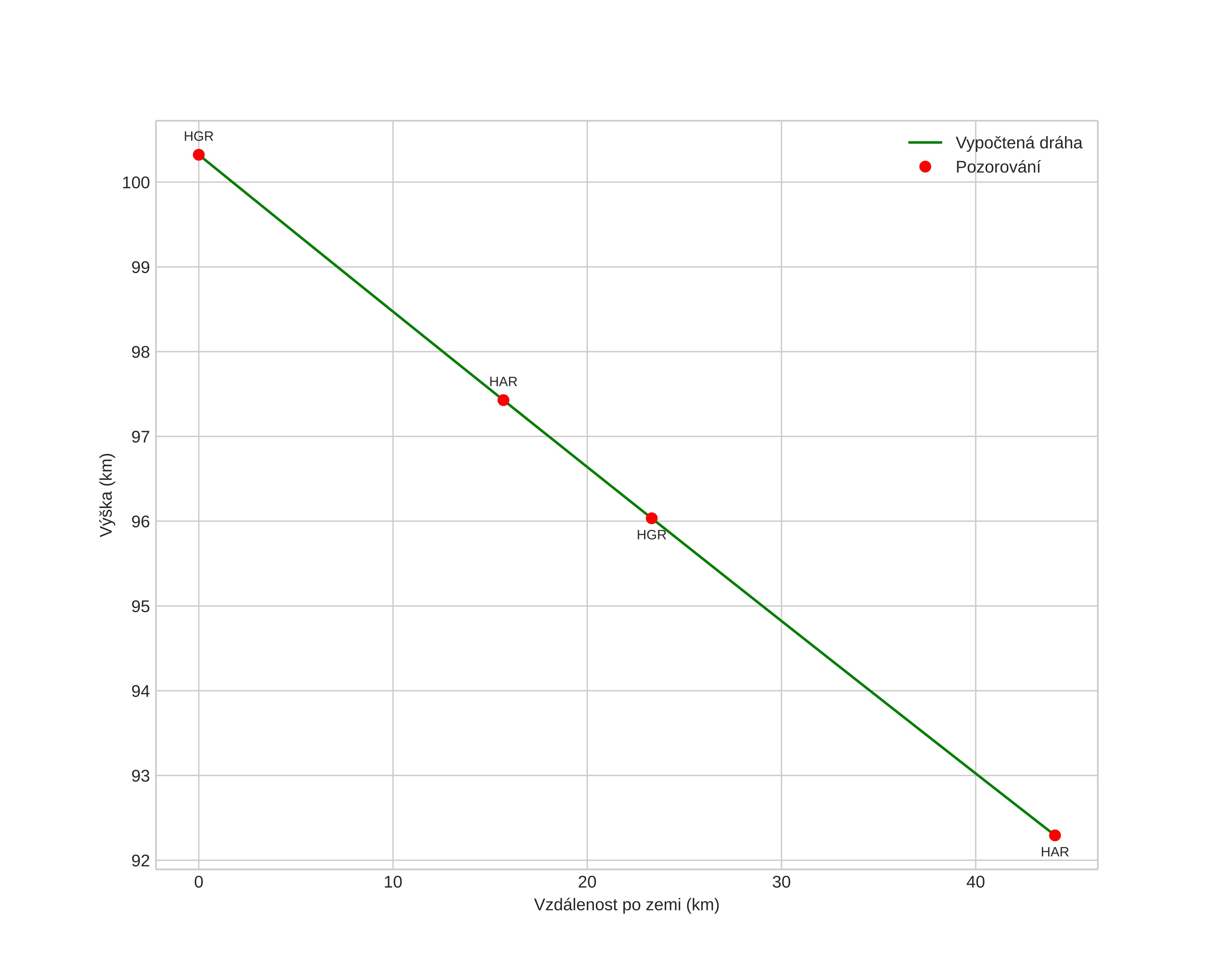
height profile
Atmosférická dráha meteoru:
Počáteční výška: 100,0 km
Konečná výška: 91,3 km
Počáteční poloha: 60,614N 12,757E
Konečná poloha: 60,796N 12,038E
Směr: 297,6°
Sklon: 11,2°
VstupnĂ­ rychlost: 30,8 km/s
Rektascenze radiantu: 19:06 (286,6°)
Deklinace radiantu: -6,2°
MeteorickĂ˝ roj: sporadickĂ˝
Elementy dráhy meteoroidu:
Vzdálenost v periheliu: 0,402 AU
Excentricita: 0,816
Sklon dráhy: 18,0°
Délka vzestupného uzlu: 299,1°
Argument perihelia: 71,6°
Střední anomálie: 13,1°
Epocha: 2025 JAN 19 06:14:24
orbit plot

NeinteraktivnĂ­ graf | InteraktivnĂ­ graf

position vs time
speed and acceleration