🇳🇴 🇬🇧 🇩🇪 🇨🇿 🇫🇮

Meteor Flisan yllä 2025-01-19 06:14:24 UTC

KML-tiedosto  |  Interaktiivinen kartta

Kartta näyttää meteorin suuntahavainnot. Vaaleammat viivat näyttävät suunnat havaintoasemilta meteorin ilmestyessä, ja tummemmat viivat näyttävät, missä se viimeksi nähtiin. Sininen nuoli näyttää meteorin näkyvän lennon.

static map
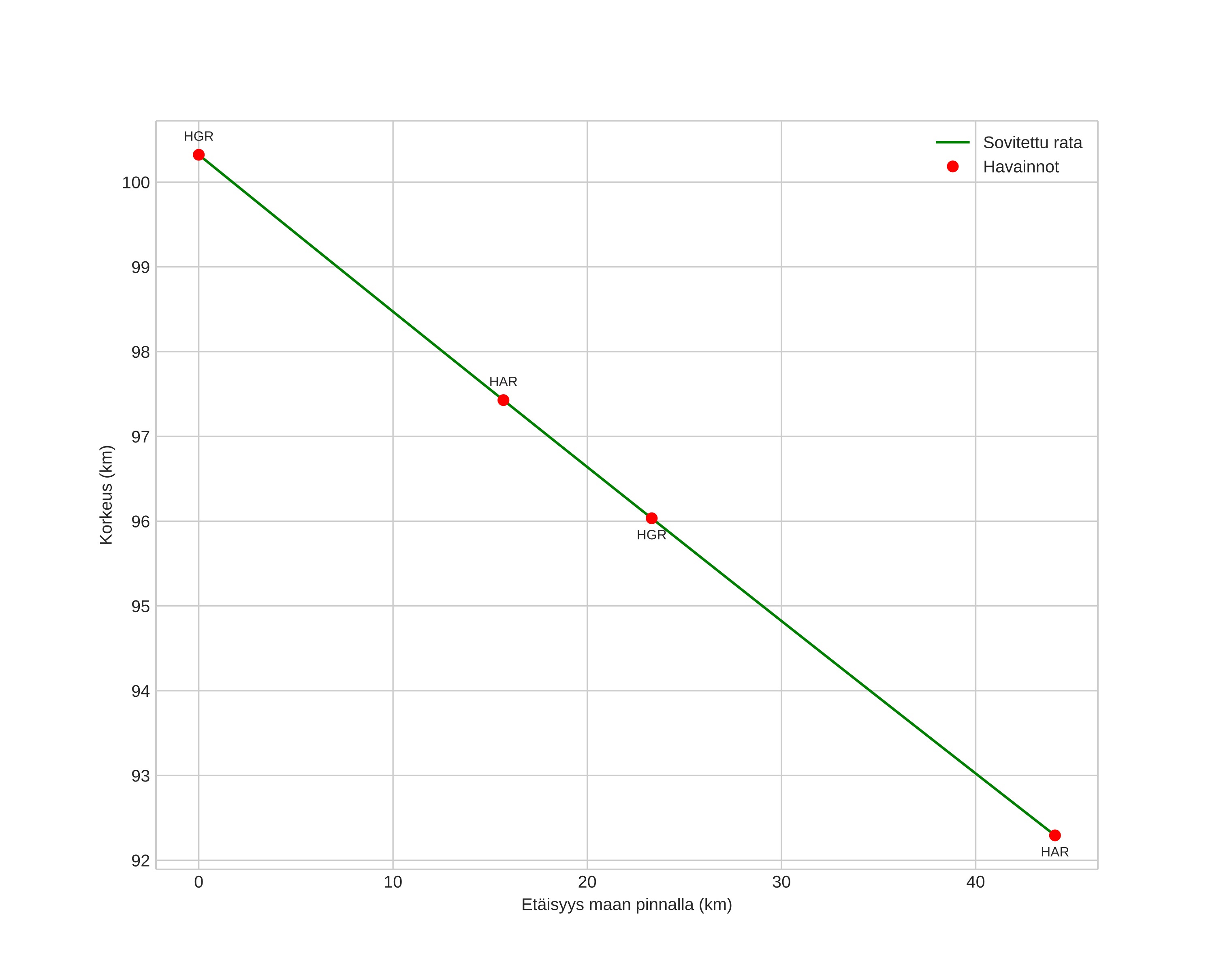
height profile
Meteorin ilmakehärata:
Alkukorkeus: 100,0 km
Loppukorkeus: 91,3 km
Alkupiste: 60,614N 12,757E
Loppupiste: 60,796N 12,038E
Suunta: 297,6°
Kallistuskulma: 11,2°
Tulonopeus: 30,8 km/s
Radiantin R,A,: 19:06 (286,6°)
Radiantin Dekl,: -6,2°
Meteoriparvi: Sporadinen
Meteoroidin rataelementit:
Perihelietäisyys: 0,402 AU
Eksentrisyys: 0,816
Inklinaatio: 18,0°
Nousevan solmun pituus: 299,1°
Perihelin argumentti: 71,6°
Keskianomalia: 13,1°
Epookki: 2025 JAN 19 06:14:24
orbit plot

Ei-interaktiivinen kuvaaja | Interaktiivinen kuvaaja

position vs time
speed and acceleration