🇳🇴 🇬🇧 🇩🇪 🇨🇿 🇫🇮

Meteor, poloha: Järna 2025-01-19 23:09:06 UTC

Soubor KML  |  InteraktivnĂ­ mapa

Mapa zobrazuje dráhy meteoru. Světlejší čáry ukazují směry od pozorovacích stanic při objevení se meteoru a tmavší čáry, kde byl naposledy viděn. Modrá šipka značí viditelnou dráhu meteoru.

static map
height profile
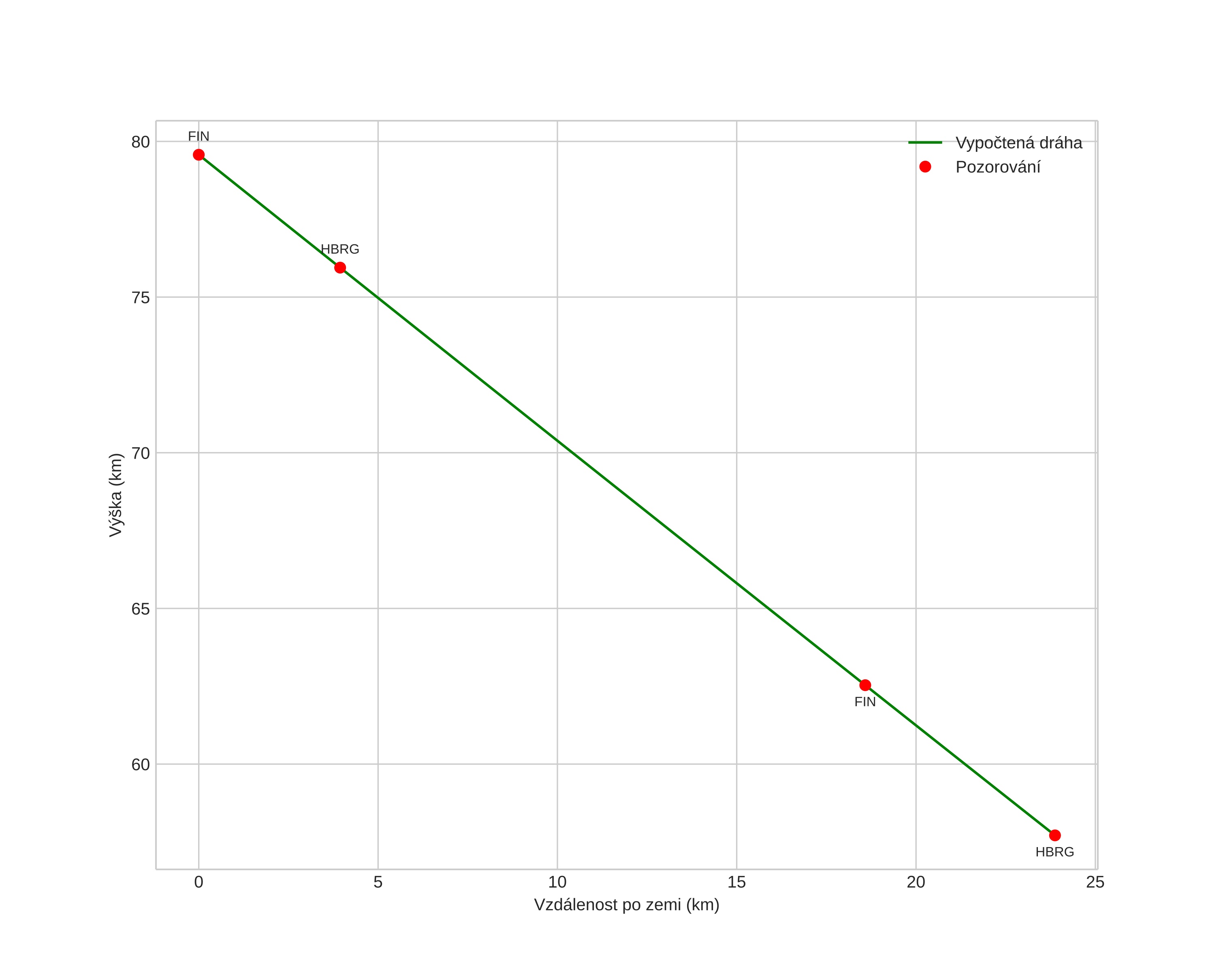
Atmosférická dráha meteoru:
Počáteční výška: 79,6 km
Konečná výška: 57,7 km
Počáteční poloha: 60,081N 14,333E
Konečná poloha: 60,284N 14,476E
Směr: 19,2°
Sklon: 42,5°
VstupnĂ­ rychlost: 20,1 km/s
Rektascenze radiantu: 06:59 (104,8°)
Deklinace radiantu: 9,2°
MeteorickĂ˝ roj: sporadickĂ˝
Elementy dráhy meteoroidu:
Vzdálenost v periheliu: 0,776 AU
Excentricita: 0,687
Sklon dráhy: 6,5°
Délka vzestupného uzlu: 119,8°
Argument perihelia: 61,2°
Střední anomálie: 350,3°
Epocha: 2025 JAN 19 23:09:06
orbit plot

NeinteraktivnĂ­ graf | InteraktivnĂ­ graf

position vs time
speed and acceleration