🇳🇴 🇬🇧 🇩🇪 🇨🇿 🇫🇮

Meteor Järnan yllä 2025-01-19 23:09:06 UTC

KML-tiedosto  |  Interaktiivinen kartta

Kartta näyttää meteorin suuntahavainnot. Vaaleammat viivat näyttävät suunnat havaintoasemilta meteorin ilmestyessä, ja tummemmat viivat näyttävät, missä se viimeksi nähtiin. Sininen nuoli näyttää meteorin näkyvän lennon.

static map
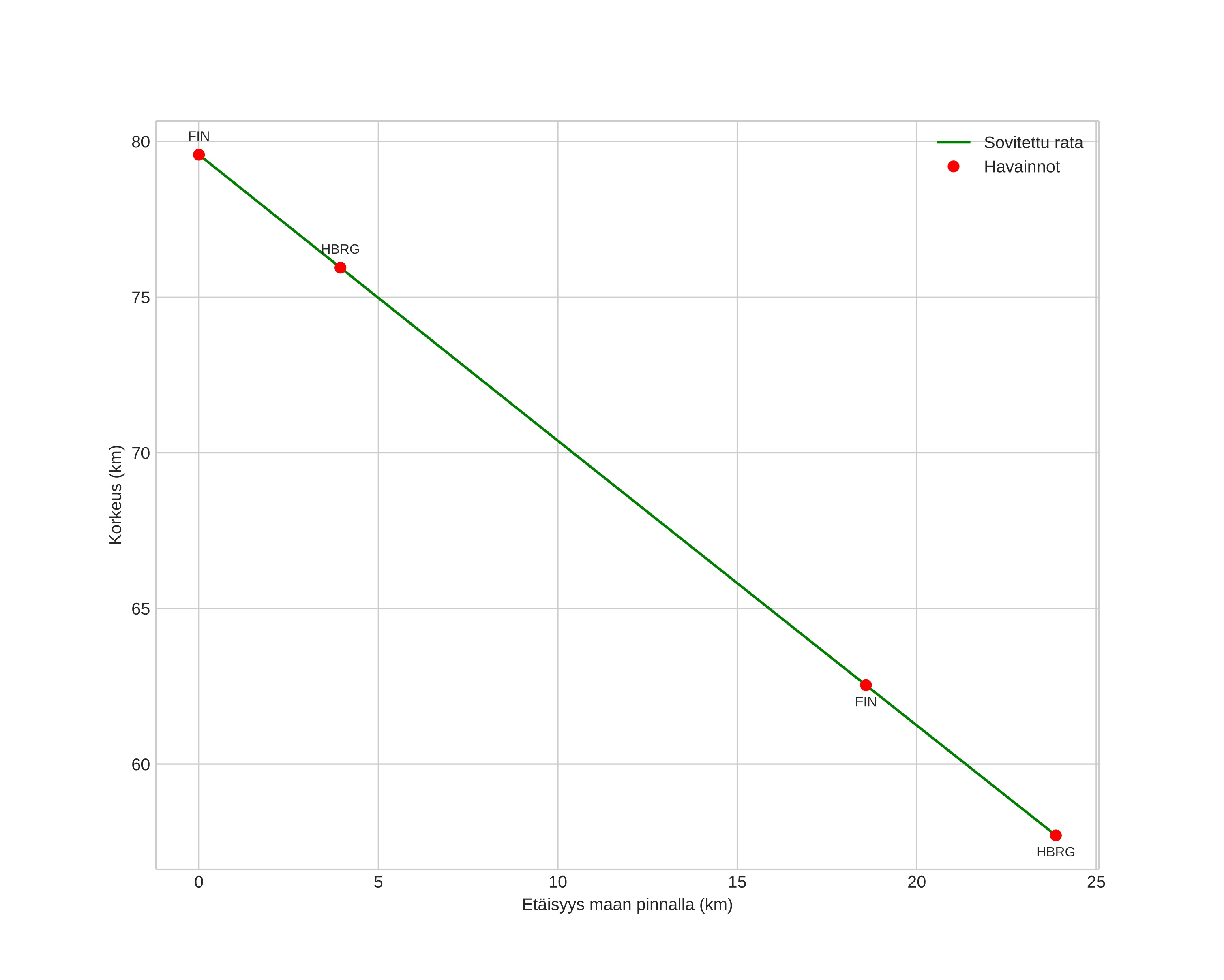
height profile
Meteorin ilmakehärata:
Alkukorkeus: 79,6 km
Loppukorkeus: 57,7 km
Alkupiste: 60,081N 14,333E
Loppupiste: 60,284N 14,476E
Suunta: 19,2°
Kallistuskulma: 42,5°
Tulonopeus: 20,1 km/s
Radiantin R,A,: 06:59 (104,8°)
Radiantin Dekl,: 9,2°
Meteoriparvi: Sporadinen
Meteoroidin rataelementit:
Perihelietäisyys: 0,776 AU
Eksentrisyys: 0,687
Inklinaatio: 6,5°
Nousevan solmun pituus: 119,8°
Perihelin argumentti: 61,2°
Keskianomalia: 350,3°
Epookki: 2025 JAN 19 23:09:06
orbit plot

Ei-interaktiivinen kuvaaja | Interaktiivinen kuvaaja

position vs time
speed and acceleration