🇳🇴 🇬🇧 🇩🇪 🇨🇿 🇫🇮

Meteor, poloha: Lyngseidet 2025-01-21 19:35:54 UTC

Soubor KML  |  InteraktivnĂ­ mapa

Mapa zobrazuje dráhy meteoru. Světlejší čáry ukazují směry od pozorovacích stanic při objevení se meteoru a tmavší čáry, kde byl naposledy viděn. Modrá šipka značí viditelnou dráhu meteoru.

static map
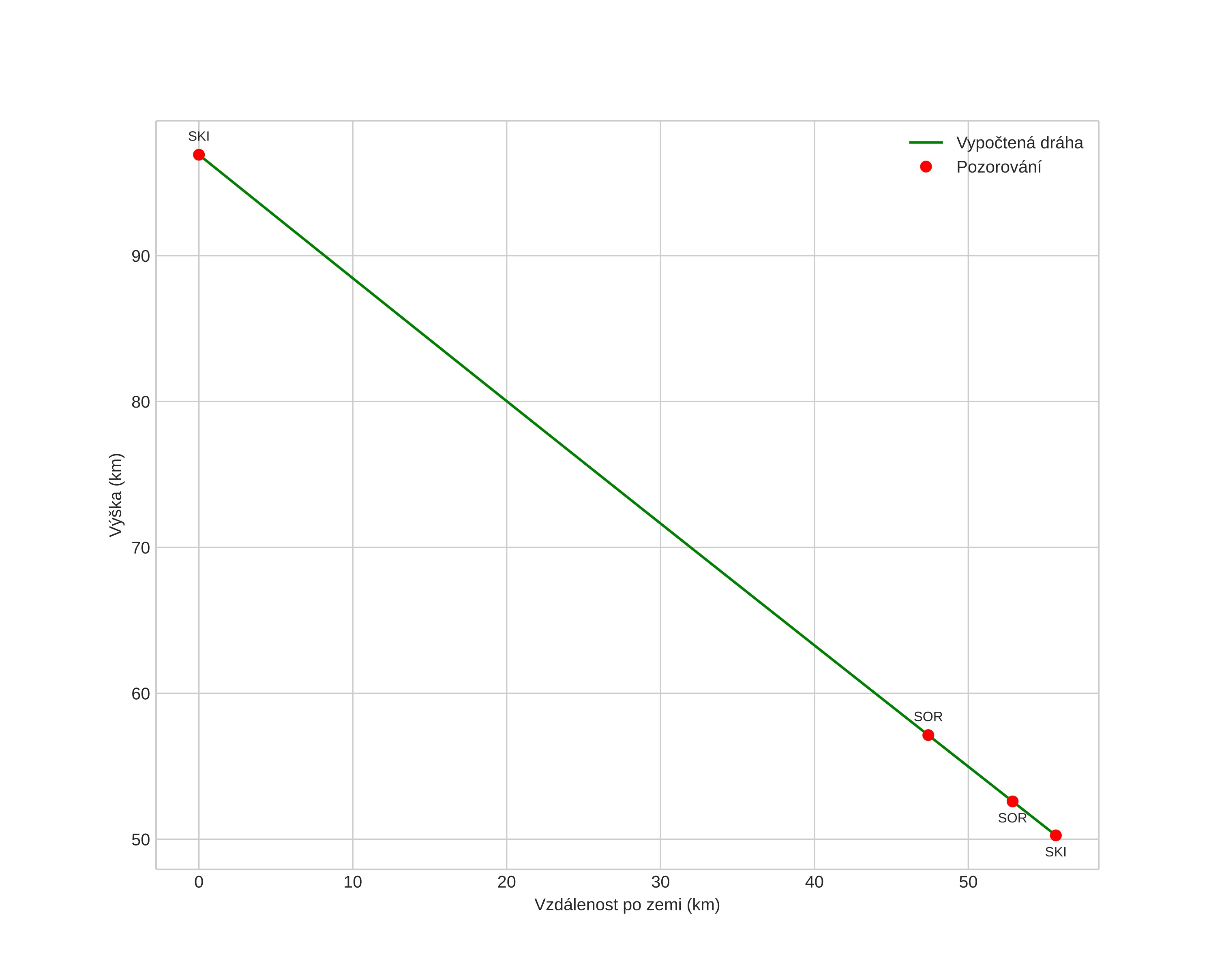
height profile
Atmosférická dráha meteoru:
Počáteční výška: 98,8 km
Konečná výška: 50,7 km
Počáteční poloha: 68,923N 21,488E
Konečná poloha: 69,254N 20,345E
Směr: 309,6°
Sklon: 39,5°
VstupnĂ­ rychlost: 24,1 km/s
Rektascenze radiantu: 07:51 (118,0°)
Deklinace radiantu: 21,7°
MeteorickĂ˝ roj: sporadickĂ˝
Elementy dráhy meteoroidu:
Vzdálenost v periheliu: 0,647 AU
Excentricita: 0,774
Sklon dráhy: 0,5°
Délka vzestupného uzlu: 301,4°
Argument perihelia: 257,9°
Střední anomálie: 351,5°
Epocha: 2025 JAN 21 19:35:54
orbit plot

NeinteraktivnĂ­ graf | InteraktivnĂ­ graf

position vs time
speed and acceleration