🇳🇴 🇬🇧 🇩🇪 🇨🇿 🇫🇮

Meteor Lyngseidetin yllä 2025-01-21 19:35:54 UTC

KML-tiedosto  |  Interaktiivinen kartta

Kartta näyttää meteorin suuntahavainnot. Vaaleammat viivat näyttävät suunnat havaintoasemilta meteorin ilmestyessä, ja tummemmat viivat näyttävät, missä se viimeksi nähtiin. Sininen nuoli näyttää meteorin näkyvän lennon.

static map
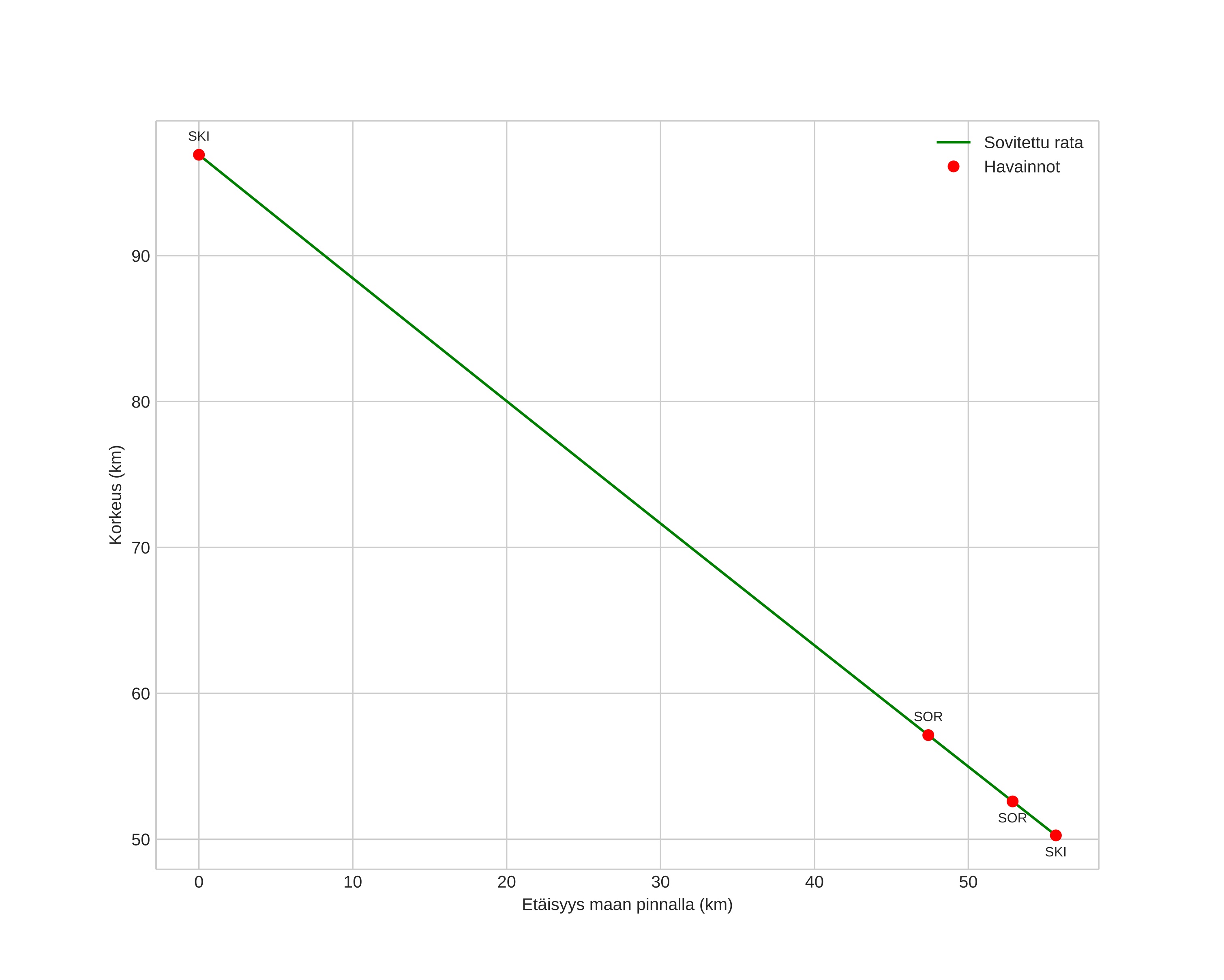
height profile
Meteorin ilmakehärata:
Alkukorkeus: 98,8 km
Loppukorkeus: 50,7 km
Alkupiste: 68,923N 21,488E
Loppupiste: 69,254N 20,345E
Suunta: 309,6°
Kallistuskulma: 39,5°
Tulonopeus: 24,1 km/s
Radiantin R,A,: 07:51 (118,0°)
Radiantin Dekl,: 21,7°
Meteoriparvi: Sporadinen
Meteoroidin rataelementit:
Perihelietäisyys: 0,647 AU
Eksentrisyys: 0,774
Inklinaatio: 0,5°
Nousevan solmun pituus: 301,4°
Perihelin argumentti: 257,9°
Keskianomalia: 351,5°
Epookki: 2025 JAN 21 19:35:54
orbit plot

Ei-interaktiivinen kuvaaja | Interaktiivinen kuvaaja

position vs time
speed and acceleration