🇳🇴 🇬🇧 🇩🇪 🇨🇿 🇫🇮

Meteor, poloha: Finnsnes 2025-01-21 19:54:35 UTC

Soubor KML  |  InteraktivnĂ­ mapa

Mapa zobrazuje dráhy meteoru. Světlejší čáry ukazují směry od pozorovacích stanic při objevení se meteoru a tmavší čáry, kde byl naposledy viděn. Modrá šipka značí viditelnou dráhu meteoru.

static map
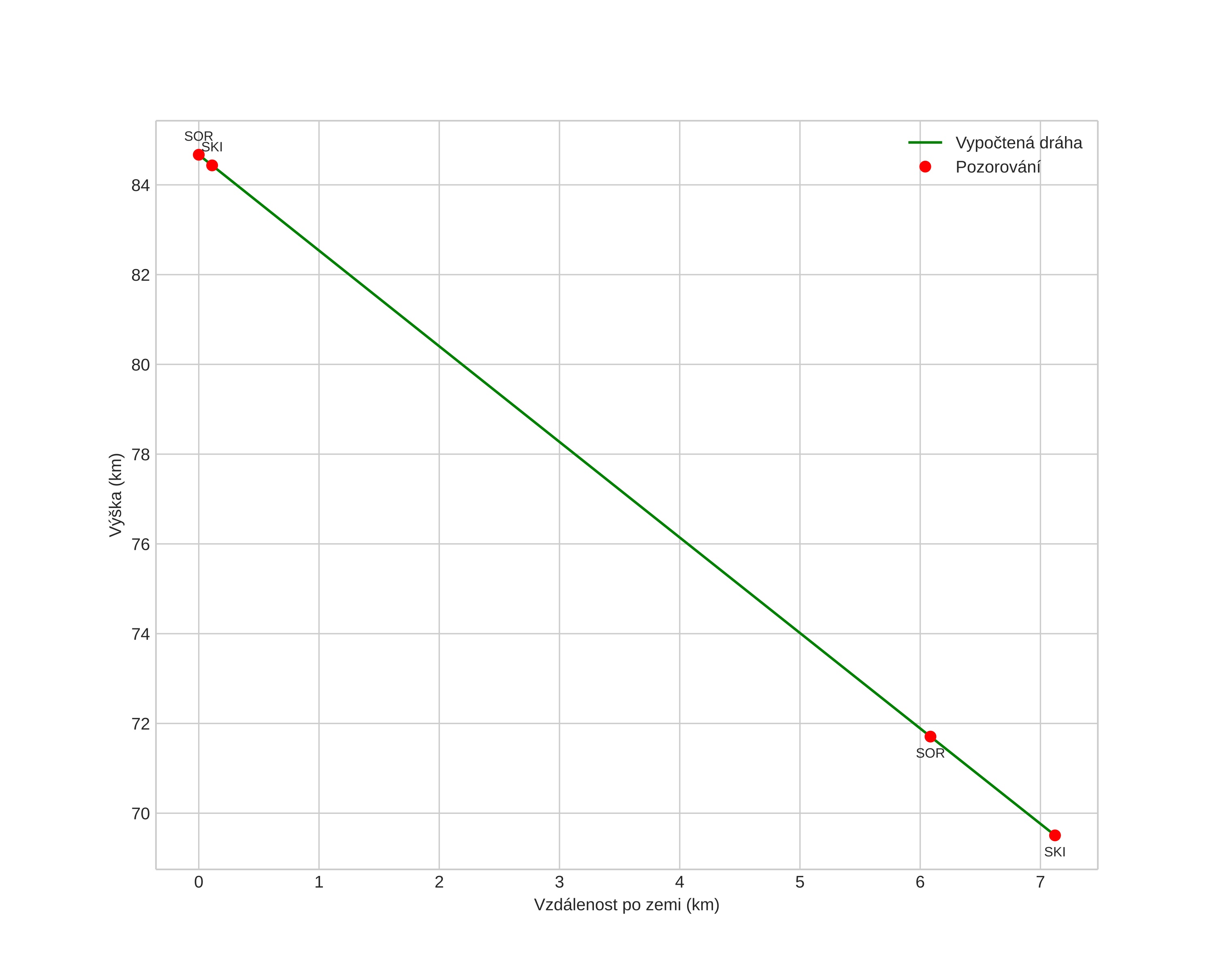
height profile
Atmosférická dráha meteoru:
Počáteční výška: 84,9 km
Konečná výška: 69,4 km
Počáteční poloha: 69,616N 18,053E
Konečná poloha: 69,578N 18,209E
Směr: 124,6°
Sklon: 64,7°
VstupnĂ­ rychlost: 16,6 km/s
Rektascenze radiantu: 23:37 (354,3°)
Deklinace radiantu: 65,5°
MeteorickĂ˝ roj: sporadickĂ˝
Elementy dráhy meteoroidu:
Vzdálenost v periheliu: 0,984 AU
Excentricita: 0,621
Sklon dráhy: 16,0°
Délka vzestupného uzlu: 301,7°
Argument perihelia: 182,2°
Střední anomálie: 359,6°
Epocha: 2025 JAN 21 19:54:35
orbit plot

NeinteraktivnĂ­ graf | InteraktivnĂ­ graf

position vs time
speed and acceleration