🇳🇴 🇬🇧 🇩🇪 🇨🇿 🇫🇮

Meteor Finnsnesin yllä 2025-01-21 19:54:35 UTC

KML-tiedosto  |  Interaktiivinen kartta

Kartta näyttää meteorin suuntahavainnot. Vaaleammat viivat näyttävät suunnat havaintoasemilta meteorin ilmestyessä, ja tummemmat viivat näyttävät, missä se viimeksi nähtiin. Sininen nuoli näyttää meteorin näkyvän lennon.

static map
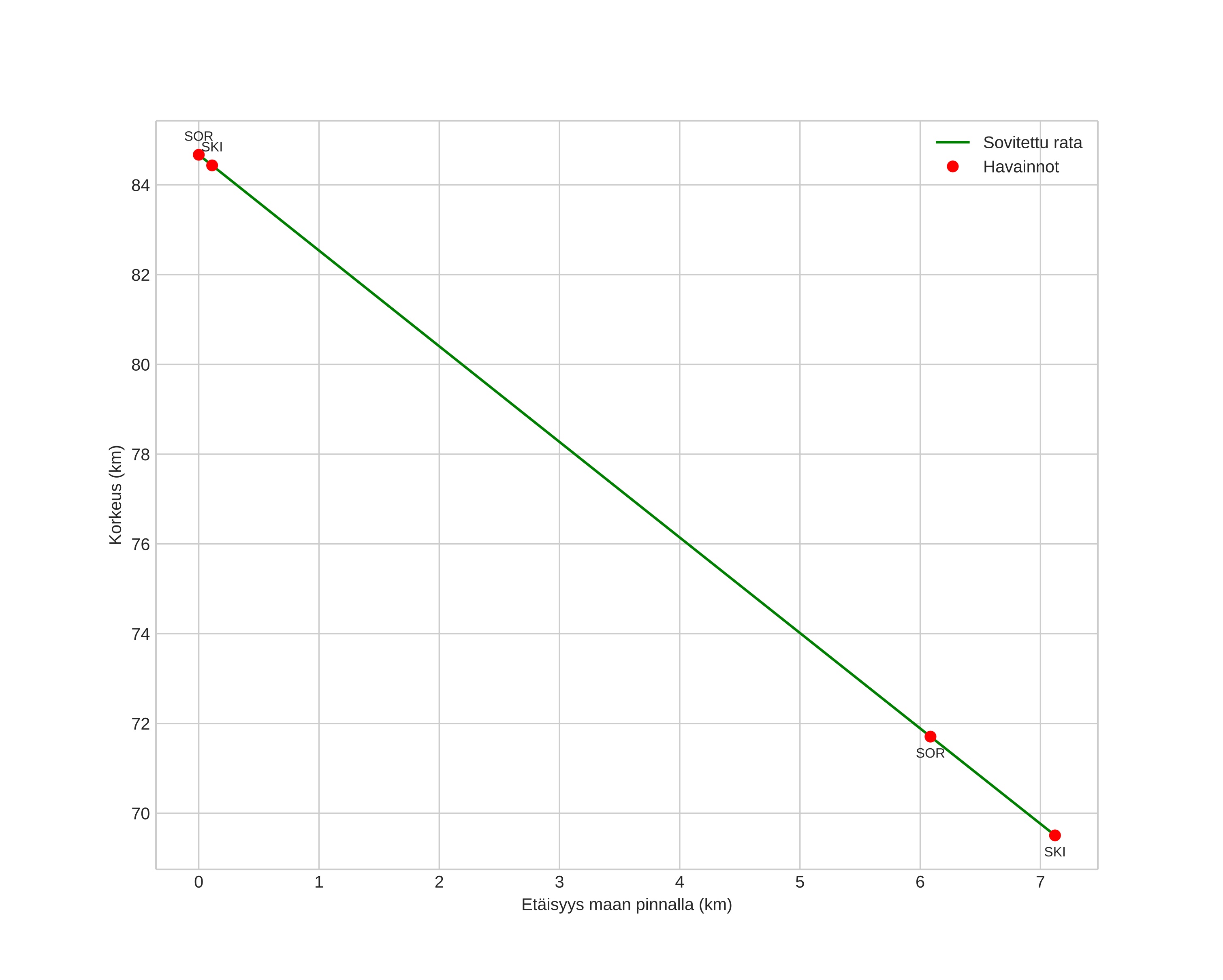
height profile
Meteorin ilmakehärata:
Alkukorkeus: 84,9 km
Loppukorkeus: 69,4 km
Alkupiste: 69,616N 18,053E
Loppupiste: 69,578N 18,209E
Suunta: 124,6°
Kallistuskulma: 64,7°
Tulonopeus: 16,6 km/s
Radiantin R,A,: 23:37 (354,3°)
Radiantin Dekl,: 65,5°
Meteoriparvi: Sporadinen
Meteoroidin rataelementit:
Perihelietäisyys: 0,984 AU
Eksentrisyys: 0,621
Inklinaatio: 16,0°
Nousevan solmun pituus: 301,7°
Perihelin argumentti: 182,2°
Keskianomalia: 359,6°
Epookki: 2025 JAN 21 19:54:35
orbit plot

Ei-interaktiivinen kuvaaja | Interaktiivinen kuvaaja

position vs time
speed and acceleration