🇳🇴 🇬🇧 🇩🇪 🇨🇿 🇫🇮

Meteor, poloha: Hatteng 2025-01-22 05:24:46 UTC

Soubor KML  |  InteraktivnĂ­ mapa

Mapa zobrazuje dráhy meteoru. Světlejší čáry ukazují směry od pozorovacích stanic při objevení se meteoru a tmavší čáry, kde byl naposledy viděn. Modrá šipka značí viditelnou dráhu meteoru.

static map
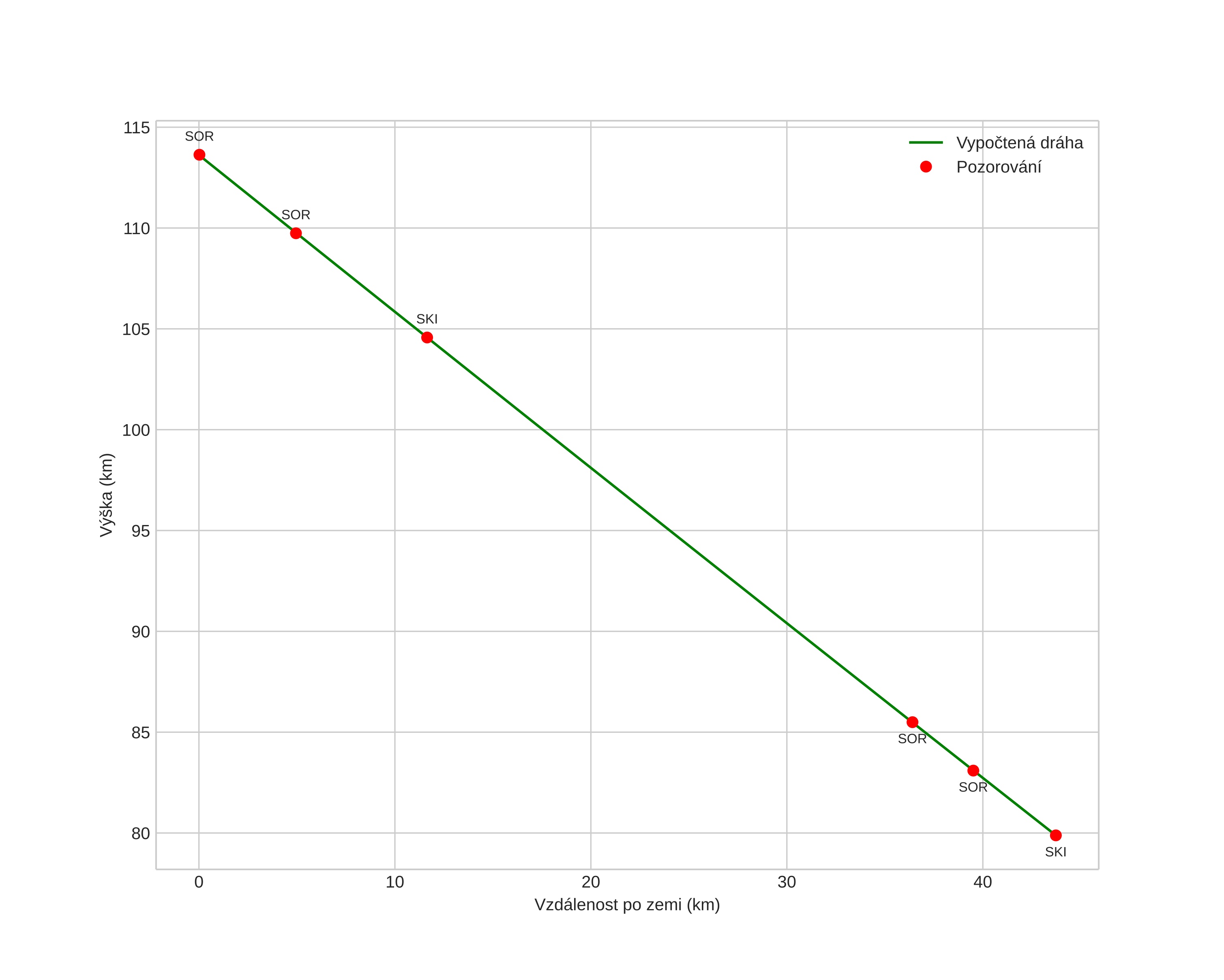
height profile
Atmosférická dráha meteoru:
Počáteční výška: 113,6 km
Konečná výška: 79,4 km
Počáteční poloha: 68,525N 18,795E
Konečná poloha: 68,591N 19,858E
Směr: 79,9°
Sklon: 38,0°
VstupnĂ­ rychlost: 48,7 km/s
Rektascenze radiantu: 10:22 (155,5°)
Deklinace radiantu: 30,8°
MeteorickĂ˝ roj: sporadickĂ˝
Elementy dráhy meteoroidu:
Vzdálenost v periheliu: 0,207 AU
Excentricita: 1,061
Sklon dráhy: 52,0°
Délka vzestupného uzlu: 302,1°
Argument perihelia: 302,3°
Střední anomálie: -5,1°
Epocha: 2025 JAN 22 05:24:46
orbit plot

NeinteraktivnĂ­ graf | InteraktivnĂ­ graf

position vs time
speed and acceleration