🇳🇴 🇬🇧 🇩🇪 🇨🇿 🇫🇮

Meteor Hattengin yllä 2025-01-22 05:24:46 UTC

KML-tiedosto  |  Interaktiivinen kartta

Kartta näyttää meteorin suuntahavainnot. Vaaleammat viivat näyttävät suunnat havaintoasemilta meteorin ilmestyessä, ja tummemmat viivat näyttävät, missä se viimeksi nähtiin. Sininen nuoli näyttää meteorin näkyvän lennon.

static map
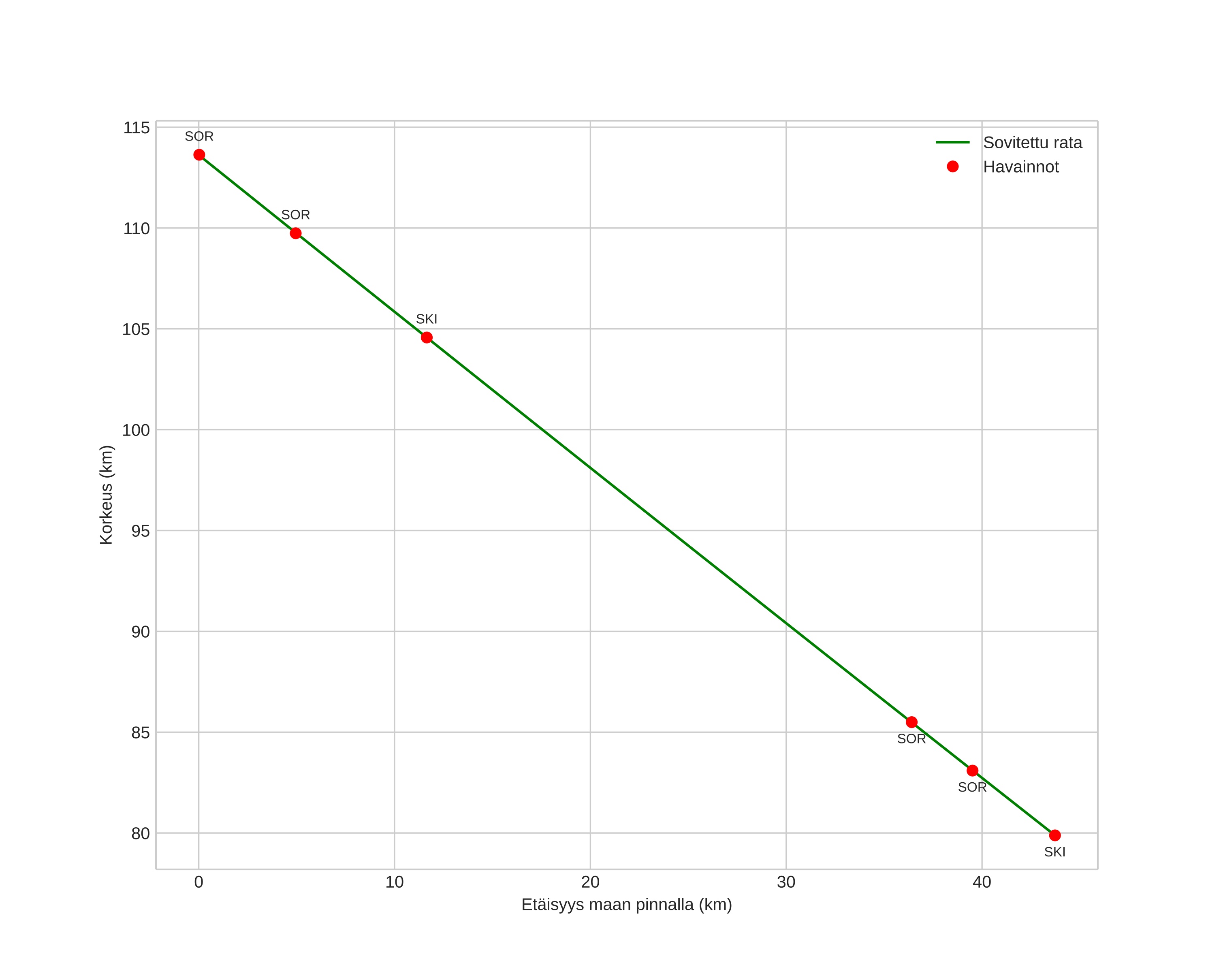
height profile
Meteorin ilmakehärata:
Alkukorkeus: 113,6 km
Loppukorkeus: 79,4 km
Alkupiste: 68,525N 18,795E
Loppupiste: 68,591N 19,858E
Suunta: 79,9°
Kallistuskulma: 38,0°
Tulonopeus: 48,7 km/s
Radiantin R,A,: 10:22 (155,5°)
Radiantin Dekl,: 30,8°
Meteoriparvi: Sporadinen
Meteoroidin rataelementit:
Perihelietäisyys: 0,207 AU
Eksentrisyys: 1,061
Inklinaatio: 52,0°
Nousevan solmun pituus: 302,1°
Perihelin argumentti: 302,3°
Keskianomalia: -5,1°
Epookki: 2025 JAN 22 05:24:46
orbit plot

Ei-interaktiivinen kuvaaja | Interaktiivinen kuvaaja

position vs time
speed and acceleration