🇳🇴 🇬🇧 🇩🇪 🇨🇿 🇫🇮

Meteor, poloha: Narvik 2025-01-24 05:56:36 UTC

Soubor KML  |  InteraktivnĂ­ mapa

Mapa zobrazuje dráhy meteoru. Světlejší čáry ukazují směry od pozorovacích stanic při objevení se meteoru a tmavší čáry, kde byl naposledy viděn. Modrá šipka značí viditelnou dráhu meteoru.

static map
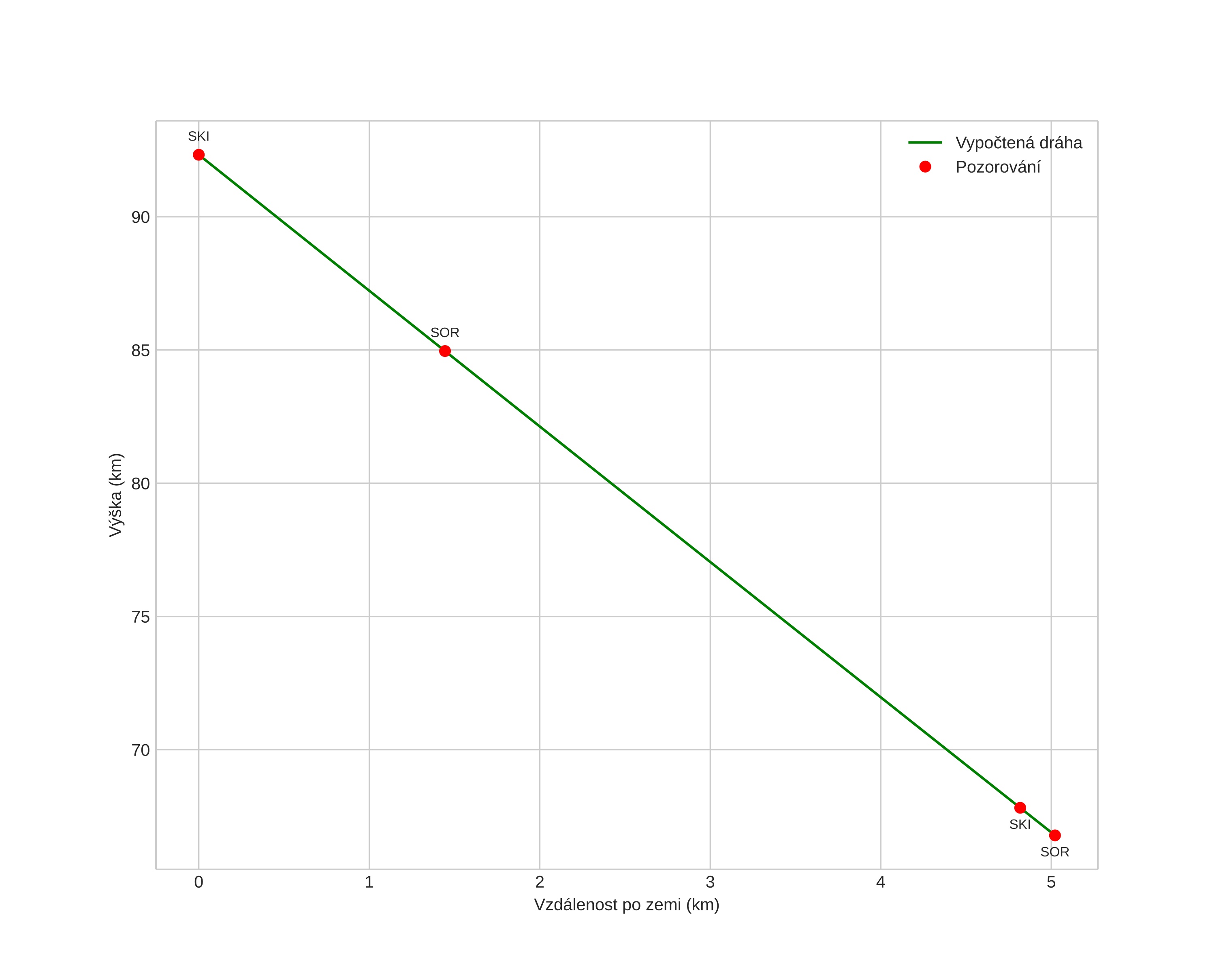
height profile
Atmosférická dráha meteoru:
Počáteční výška: 95,0 km
Konečná výška: 66,7 km
Počáteční poloha: 67,941N 17,542E
Konečná poloha: 67,918N 17,426E
Směr: 242,1°
Sklon: 79,0°
VstupnĂ­ rychlost: 26,2 km/s
Rektascenze radiantu: 17:26 (261,5°)
Deklinace radiantu: 70,7°
MeteorickĂ˝ roj: sporadickĂ˝
Elementy dráhy meteoroidu:
Vzdálenost v periheliu: 0,981 AU
Excentricita: 0,641
Sklon dráhy: 37,9°
Délka vzestupného uzlu: 304,1°
Argument perihelia: 187,4°
Střední anomálie: 358,8°
Epocha: 2025 JAN 24 05:56:36
orbit plot

NeinteraktivnĂ­ graf | InteraktivnĂ­ graf

position vs time
speed and acceleration