🇳🇴 🇬🇧 🇩🇪 🇨🇿 🇫🇮

Meteor Narvikin yllä 2025-01-24 05:56:36 UTC

KML-tiedosto  |  Interaktiivinen kartta

Kartta näyttää meteorin suuntahavainnot. Vaaleammat viivat näyttävät suunnat havaintoasemilta meteorin ilmestyessä, ja tummemmat viivat näyttävät, missä se viimeksi nähtiin. Sininen nuoli näyttää meteorin näkyvän lennon.

static map
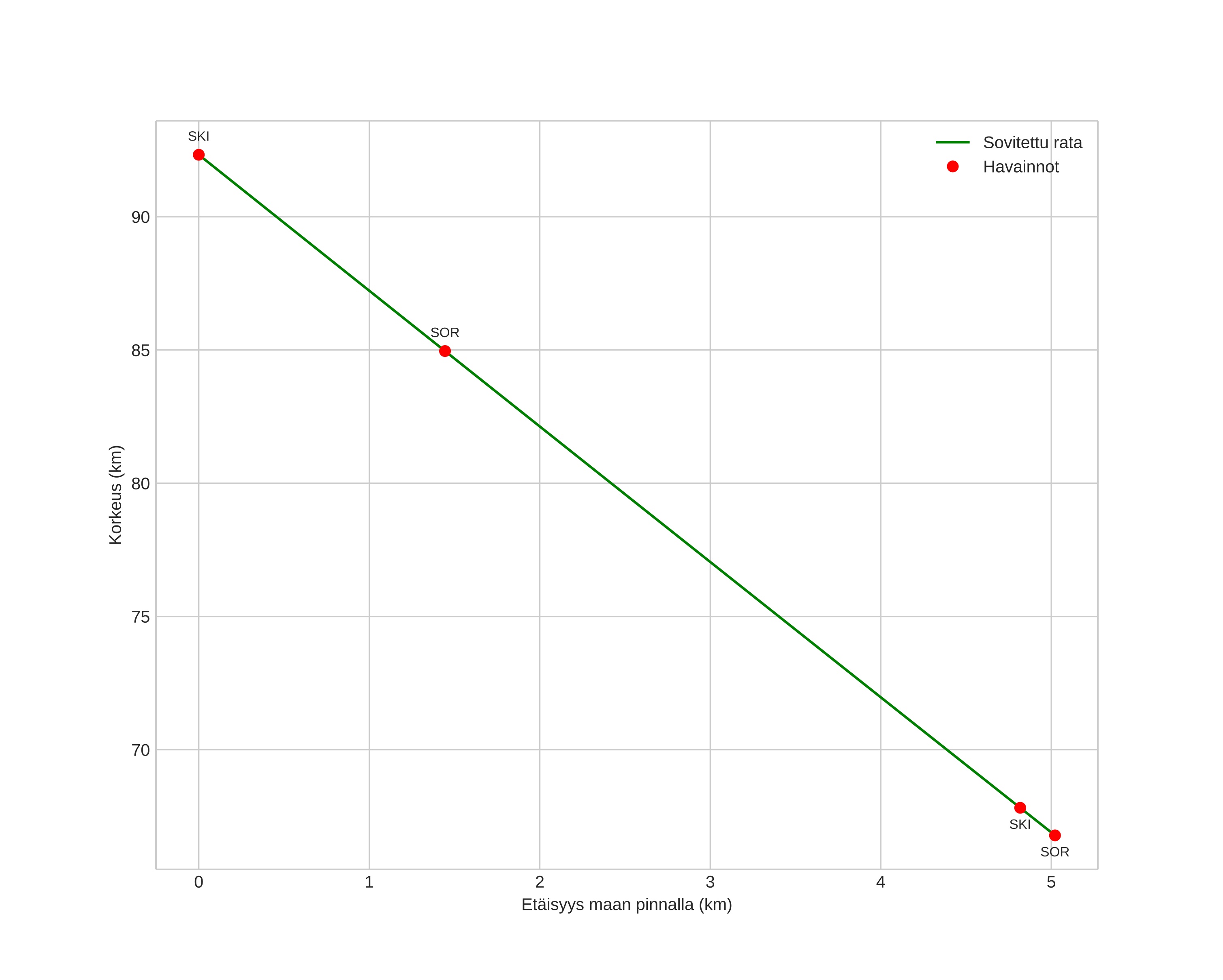
height profile
Meteorin ilmakehärata:
Alkukorkeus: 95,0 km
Loppukorkeus: 66,7 km
Alkupiste: 67,941N 17,542E
Loppupiste: 67,918N 17,426E
Suunta: 242,1°
Kallistuskulma: 79,0°
Tulonopeus: 26,2 km/s
Radiantin R,A,: 17:26 (261,5°)
Radiantin Dekl,: 70,7°
Meteoriparvi: Sporadinen
Meteoroidin rataelementit:
Perihelietäisyys: 0,981 AU
Eksentrisyys: 0,641
Inklinaatio: 37,9°
Nousevan solmun pituus: 304,1°
Perihelin argumentti: 187,4°
Keskianomalia: 358,8°
Epookki: 2025 JAN 24 05:56:36
orbit plot

Ei-interaktiivinen kuvaaja | Interaktiivinen kuvaaja

position vs time
speed and acceleration