🇳🇴 🇬🇧 🇩🇪 🇨🇿 🇫🇮

Meteor, poloha: Hundorp 2025-01-26 21:24:57 UTC

Soubor KML  |  InteraktivnĂ­ mapa

Mapa zobrazuje dráhy meteoru. Světlejší čáry ukazují směry od pozorovacích stanic při objevení se meteoru a tmavší čáry, kde byl naposledy viděn. Modrá šipka značí viditelnou dráhu meteoru.

static map
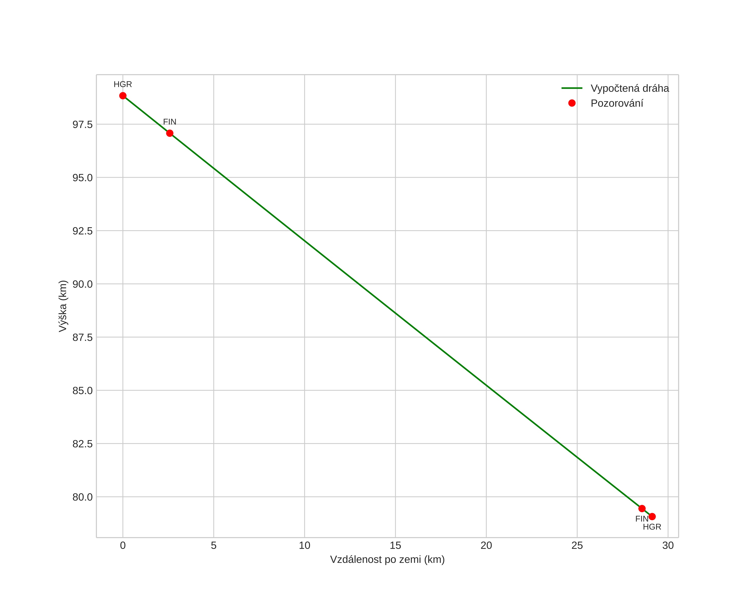
height profile
Atmosférická dráha meteoru:
Počáteční výška: 99,8 km
Konečná výška: 79,3 km
Počáteční poloha: 61,692N 10,057E
Konečná poloha: 61,442N 9,847E
Směr: 201,9°
Sklon: 34,4°
VstupnĂ­ rychlost: 39,5 km/s
Rektascenze radiantu: 16:06 (241,7°)
Deklinace radiantu: 58,4°
MeteorickĂ˝ roj: sporadickĂ˝
Elementy dráhy meteoroidu:
Vzdálenost v periheliu: 0,980 AU
Excentricita: 0,972
Sklon dráhy: 60,3°
Délka vzestupného uzlu: 306,8°
Argument perihelia: 188,0°
Střední anomálie: 360,0°
Epocha: 2025 JAN 26 21:24:57
orbit plot

NeinteraktivnĂ­ graf | InteraktivnĂ­ graf

position vs time
speed and acceleration