🇳🇴 🇬🇧 🇩🇪 🇨🇿 🇫🇮

Meteor Hundorpin yllä 2025-01-26 21:24:57 UTC

KML-tiedosto  |  Interaktiivinen kartta

Kartta näyttää meteorin suuntahavainnot. Vaaleammat viivat näyttävät suunnat havaintoasemilta meteorin ilmestyessä, ja tummemmat viivat näyttävät, missä se viimeksi nähtiin. Sininen nuoli näyttää meteorin näkyvän lennon.

static map
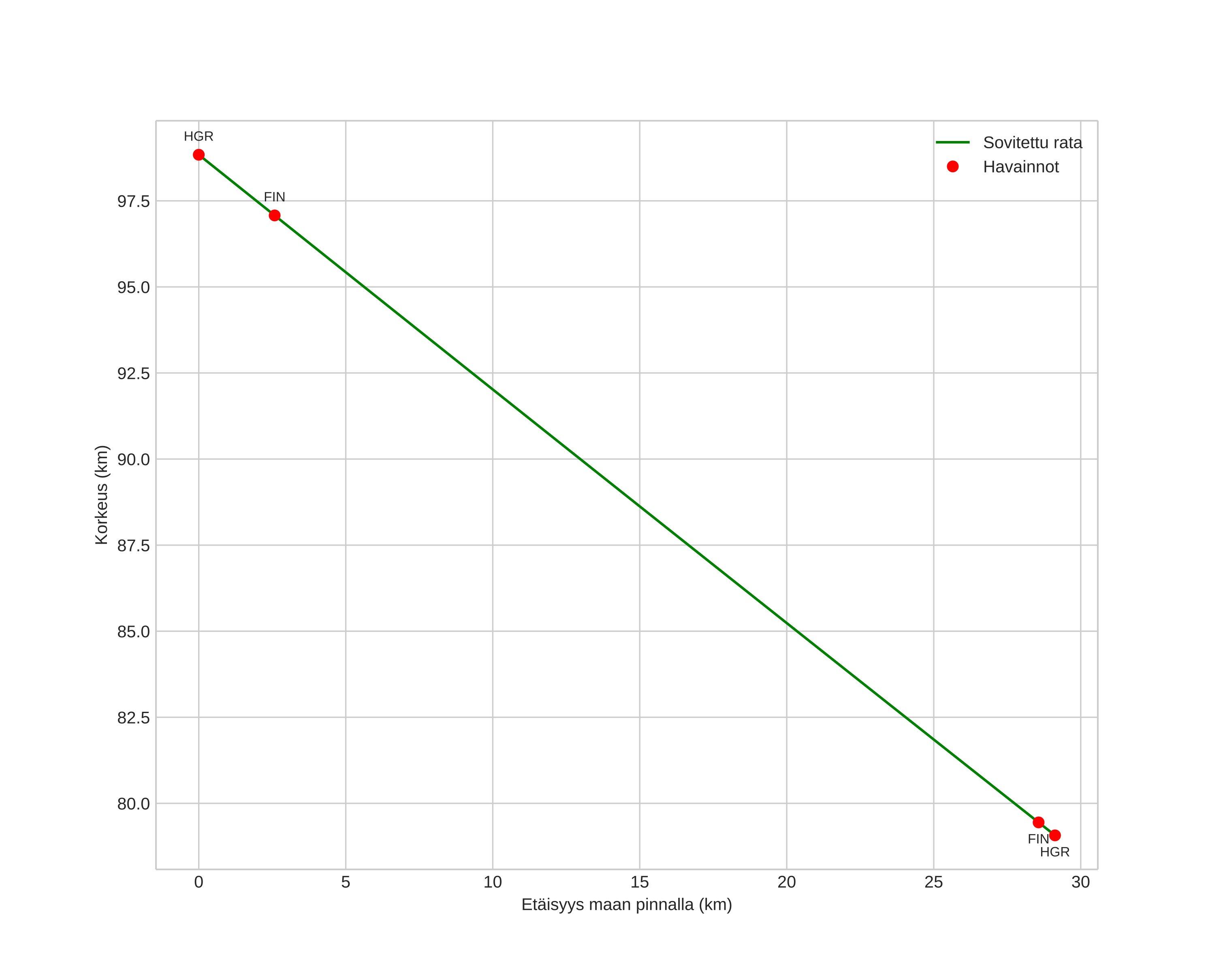
height profile
Meteorin ilmakehärata:
Alkukorkeus: 99,8 km
Loppukorkeus: 79,3 km
Alkupiste: 61,692N 10,057E
Loppupiste: 61,442N 9,847E
Suunta: 201,9°
Kallistuskulma: 34,4°
Tulonopeus: 39,5 km/s
Radiantin R,A,: 16:06 (241,7°)
Radiantin Dekl,: 58,4°
Meteoriparvi: Sporadinen
Meteoroidin rataelementit:
Perihelietäisyys: 0,980 AU
Eksentrisyys: 0,972
Inklinaatio: 60,3°
Nousevan solmun pituus: 306,8°
Perihelin argumentti: 188,0°
Keskianomalia: 360,0°
Epookki: 2025 JAN 26 21:24:57
orbit plot

Ei-interaktiivinen kuvaaja | Interaktiivinen kuvaaja

position vs time
speed and acceleration