🇳🇴 🇬🇧 🇩🇪 🇨🇿 🇫🇮

Meteor, poloha: Harstad 2025-01-27 04:26:13 UTC

Soubor KML  |  InteraktivnĂ­ mapa

Mapa zobrazuje dráhy meteoru. Světlejší čáry ukazují směry od pozorovacích stanic při objevení se meteoru a tmavší čáry, kde byl naposledy viděn. Modrá šipka značí viditelnou dráhu meteoru.

static map
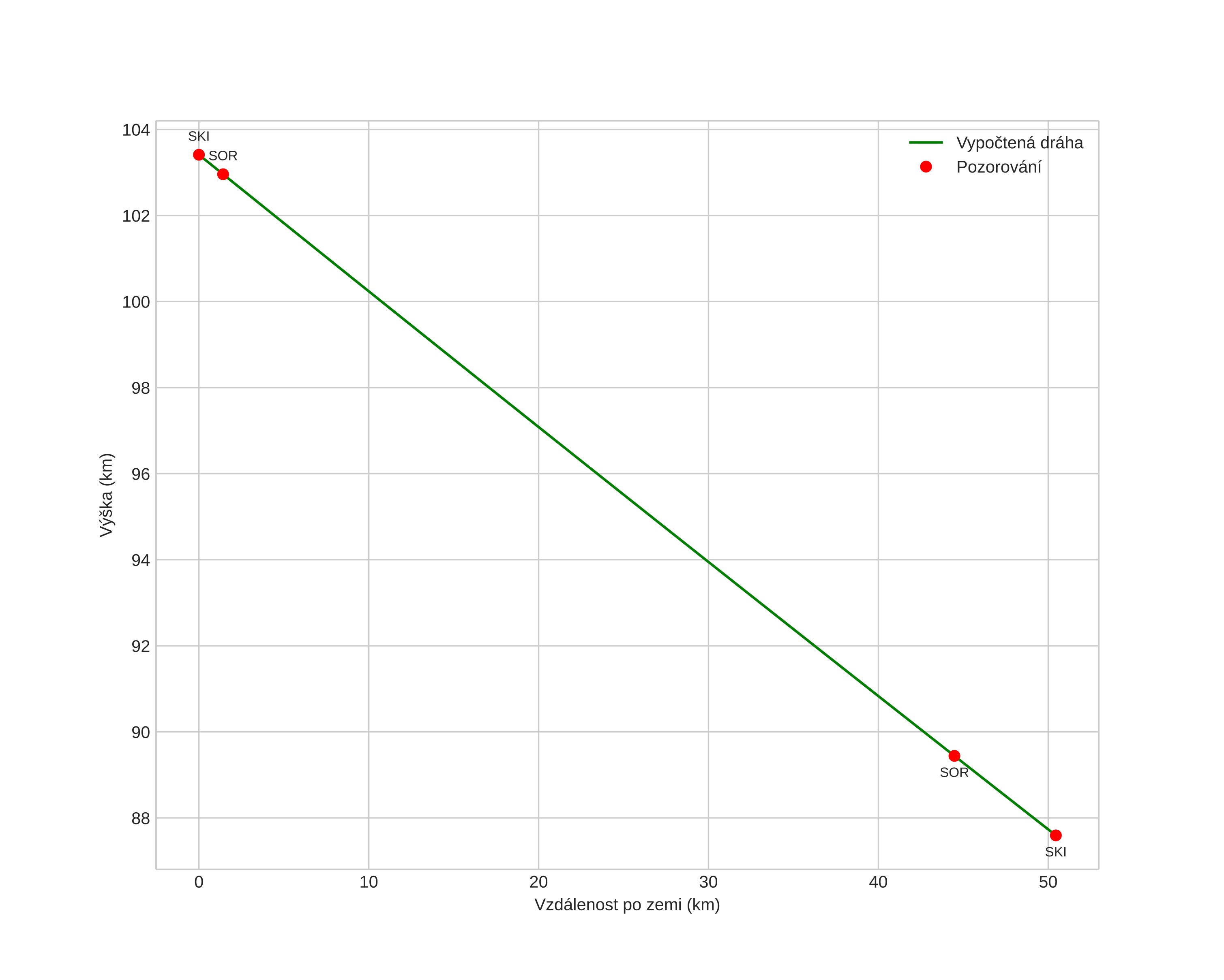
height profile
Atmosférická dráha meteoru:
Počáteční výška: 102,9 km
Konečná výška: 89,1 km
Počáteční poloha: 68,764N 15,856E
Konečná poloha: 68,974N 16,847E
Směr: 59,1°
Sklon: 16,7°
VstupnĂ­ rychlost: 49,1 km/s
Rektascenze radiantu: 10:10 (152,7°)
Deklinace radiantu: 4,1°
MeteorickĂ˝ roj: sporadickĂ˝
Elementy dráhy meteoroidu:
Vzdálenost v periheliu: 0,064 AU
Excentricita: 1,010
Sklon dráhy: 30,7°
Délka vzestupného uzlu: 127,1°
Argument perihelia: 149,4°
Střední anomálie: -1,6°
Epocha: 2025 JAN 27 04:26:13
orbit plot

NeinteraktivnĂ­ graf | InteraktivnĂ­ graf

position vs time
speed and acceleration