🇳🇴 🇬🇧 🇩🇪 🇨🇿 🇫🇮

Meteor Harstadin yllä 2025-01-27 04:26:13 UTC

KML-tiedosto  |  Interaktiivinen kartta

Kartta näyttää meteorin suuntahavainnot. Vaaleammat viivat näyttävät suunnat havaintoasemilta meteorin ilmestyessä, ja tummemmat viivat näyttävät, missä se viimeksi nähtiin. Sininen nuoli näyttää meteorin näkyvän lennon.

static map
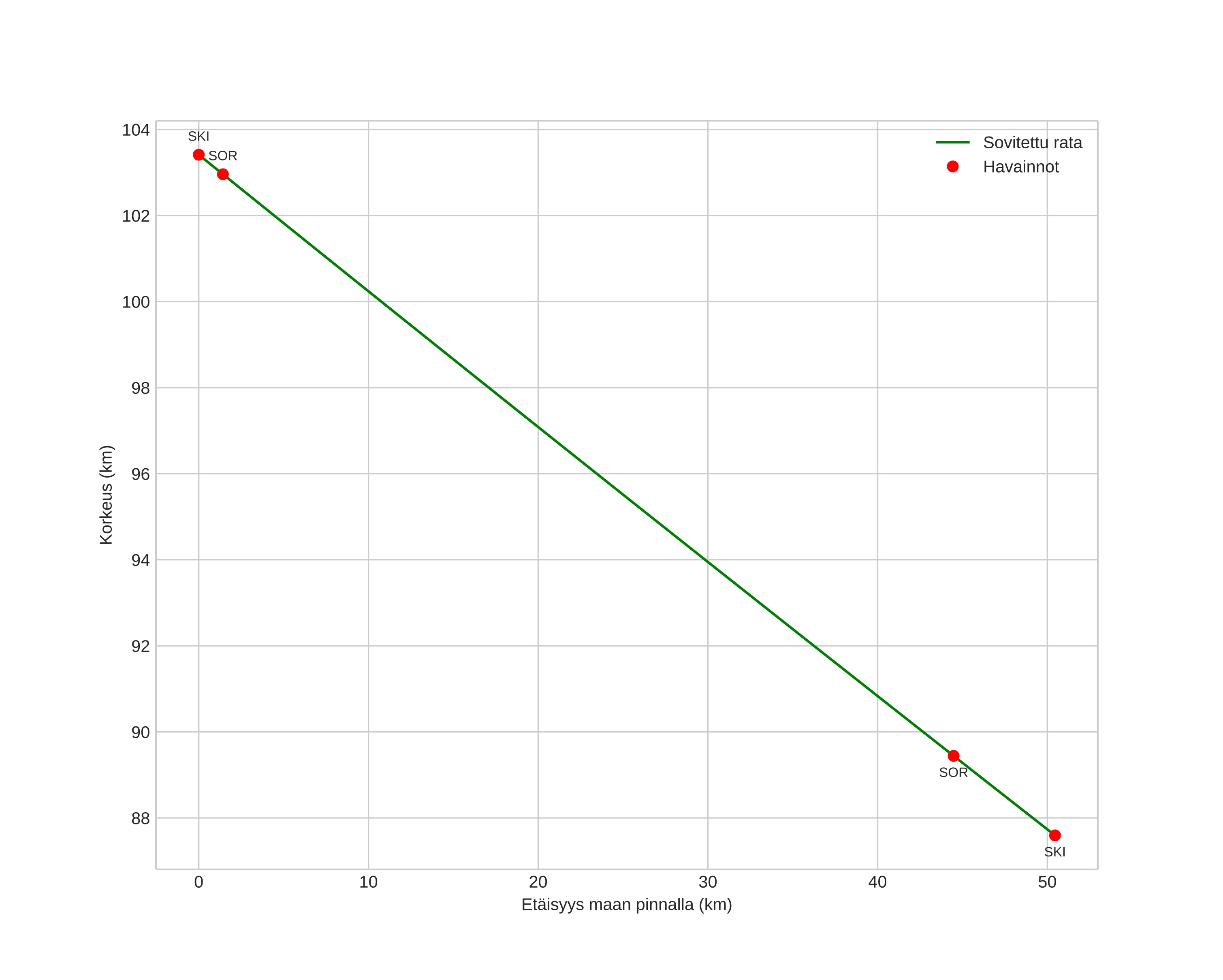
height profile
Meteorin ilmakehärata:
Alkukorkeus: 102,9 km
Loppukorkeus: 89,1 km
Alkupiste: 68,764N 15,856E
Loppupiste: 68,974N 16,847E
Suunta: 59,1°
Kallistuskulma: 16,7°
Tulonopeus: 49,1 km/s
Radiantin R,A,: 10:10 (152,7°)
Radiantin Dekl,: 4,1°
Meteoriparvi: Sporadinen
Meteoroidin rataelementit:
Perihelietäisyys: 0,064 AU
Eksentrisyys: 1,010
Inklinaatio: 30,7°
Nousevan solmun pituus: 127,1°
Perihelin argumentti: 149,4°
Keskianomalia: -1,6°
Epookki: 2025 JAN 27 04:26:13
orbit plot

Ei-interaktiivinen kuvaaja | Interaktiivinen kuvaaja

position vs time
speed and acceleration