🇳🇴 🇬🇧 🇩🇪 🇨🇿 🇫🇮

Meteor, poloha: Rakkestad 2025-01-30 05:43:04 UTC

Soubor KML  |  InteraktivnĂ­ mapa

Mapa zobrazuje dráhy meteoru. Světlejší čáry ukazují směry od pozorovacích stanic při objevení se meteoru a tmavší čáry, kde byl naposledy viděn. Modrá šipka značí viditelnou dráhu meteoru.

static map
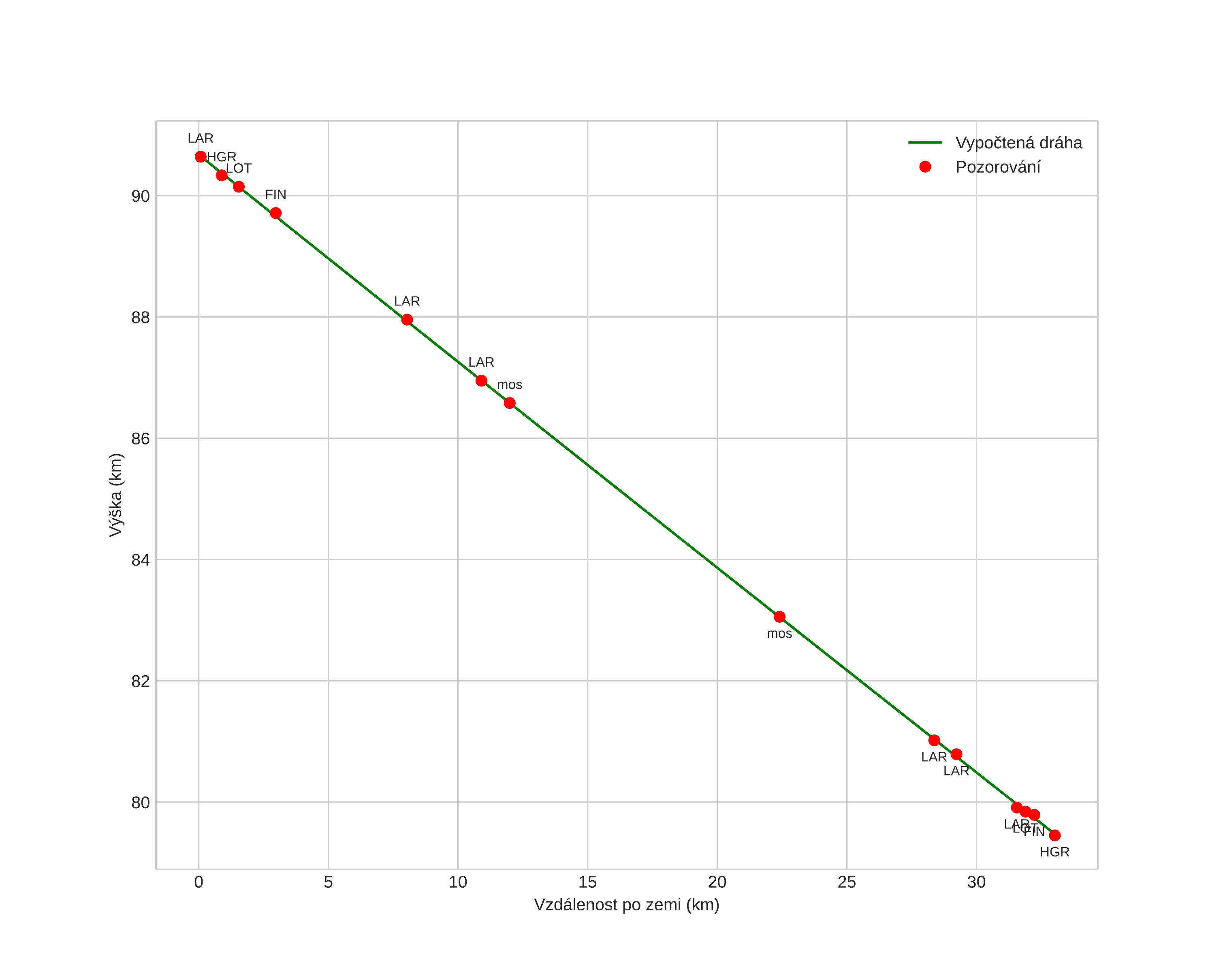
height profile
Atmosférická dráha meteoru:
Počáteční výška: 90,6 km
Konečná výška: 79,4 km
Počáteční poloha: 59,484N 10,703E
Konečná poloha: 59,481N 11,291E
Směr: 90,3°
Sklon: 18,6°
VstupnĂ­ rychlost: 31,1 km/s
Rektascenze radiantu: 09:34 (143,7°)
Deklinace radiantu: 13,7°
MeteorickĂ˝ roj: sporadickĂ˝
Elementy dráhy meteoroidu:
Vzdálenost v periheliu: 0,357 AU
Excentricita: 0,843
Sklon dráhy: 0,7°
Délka vzestupného uzlu: 130,4°
Argument perihelia: 113,1°
Střední anomálie: 348,0°
Epocha: 2025 JAN 30 05:43:04
orbit plot

NeinteraktivnĂ­ graf | InteraktivnĂ­ graf

position vs time
speed and acceleration