🇳🇴 🇬🇧 🇩🇪 🇨🇿 🇫🇮

Meteor Rakkestadin yllä 2025-01-30 05:43:04 UTC

KML-tiedosto  |  Interaktiivinen kartta

Kartta näyttää meteorin suuntahavainnot. Vaaleammat viivat näyttävät suunnat havaintoasemilta meteorin ilmestyessä, ja tummemmat viivat näyttävät, missä se viimeksi nähtiin. Sininen nuoli näyttää meteorin näkyvän lennon.

static map
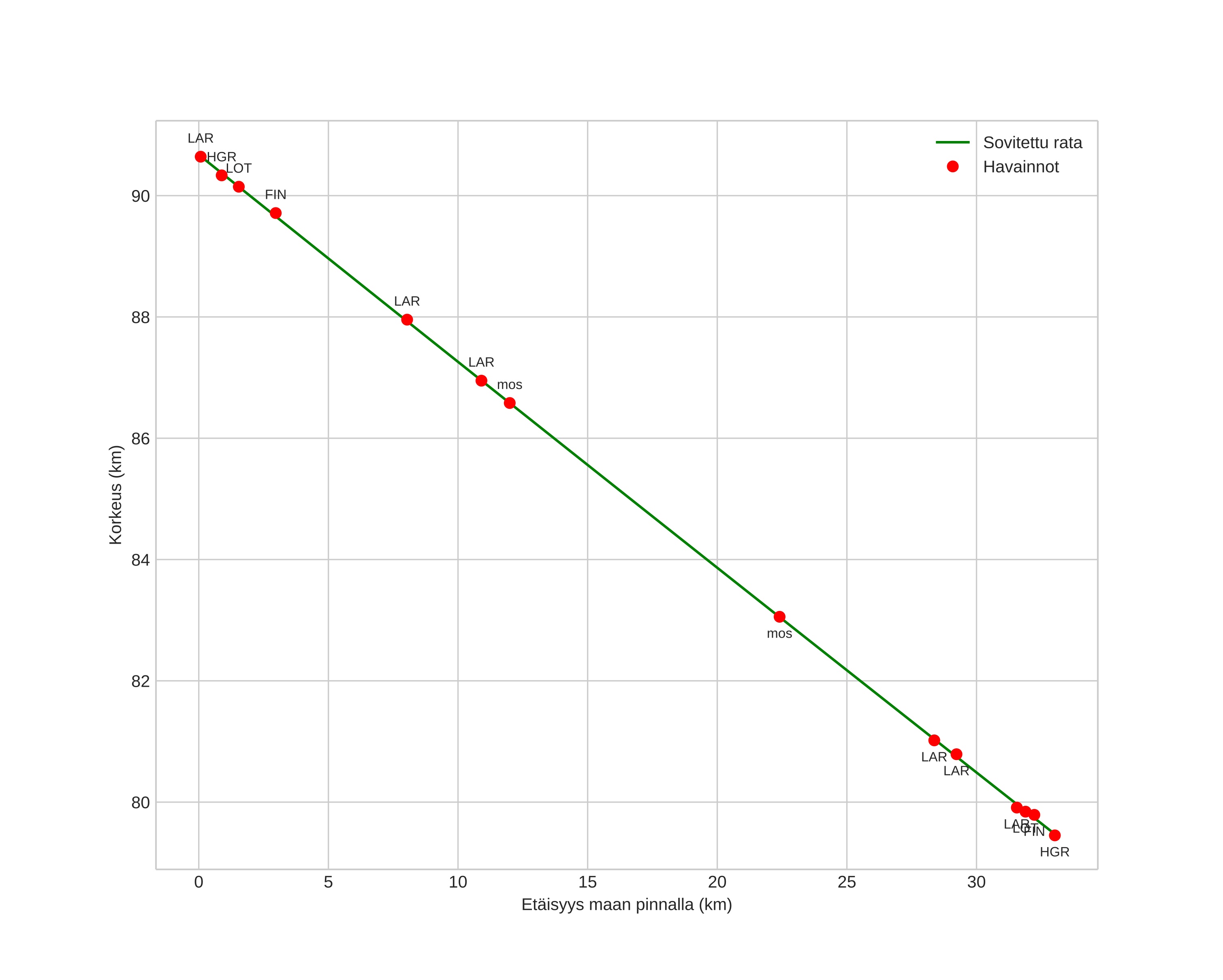
height profile
Meteorin ilmakehärata:
Alkukorkeus: 90,6 km
Loppukorkeus: 79,4 km
Alkupiste: 59,484N 10,703E
Loppupiste: 59,481N 11,291E
Suunta: 90,3°
Kallistuskulma: 18,6°
Tulonopeus: 31,1 km/s
Radiantin R,A,: 09:34 (143,7°)
Radiantin Dekl,: 13,7°
Meteoriparvi: Sporadinen
Meteoroidin rataelementit:
Perihelietäisyys: 0,357 AU
Eksentrisyys: 0,843
Inklinaatio: 0,7°
Nousevan solmun pituus: 130,4°
Perihelin argumentti: 113,1°
Keskianomalia: 348,0°
Epookki: 2025 JAN 30 05:43:04
orbit plot

Ei-interaktiivinen kuvaaja | Interaktiivinen kuvaaja

position vs time
speed and acceleration