🇳🇴 🇬🇧 🇩🇪 🇨🇿 🇫🇮

Meteor, poloha: Nesbyen 2025-01-30 17:41:33 UTC

Soubor KML  |  InteraktivnĂ­ mapa

Mapa zobrazuje dráhy meteoru. Světlejší čáry ukazují směry od pozorovacích stanic při objevení se meteoru a tmavší čáry, kde byl naposledy viděn. Modrá šipka značí viditelnou dráhu meteoru.

static map
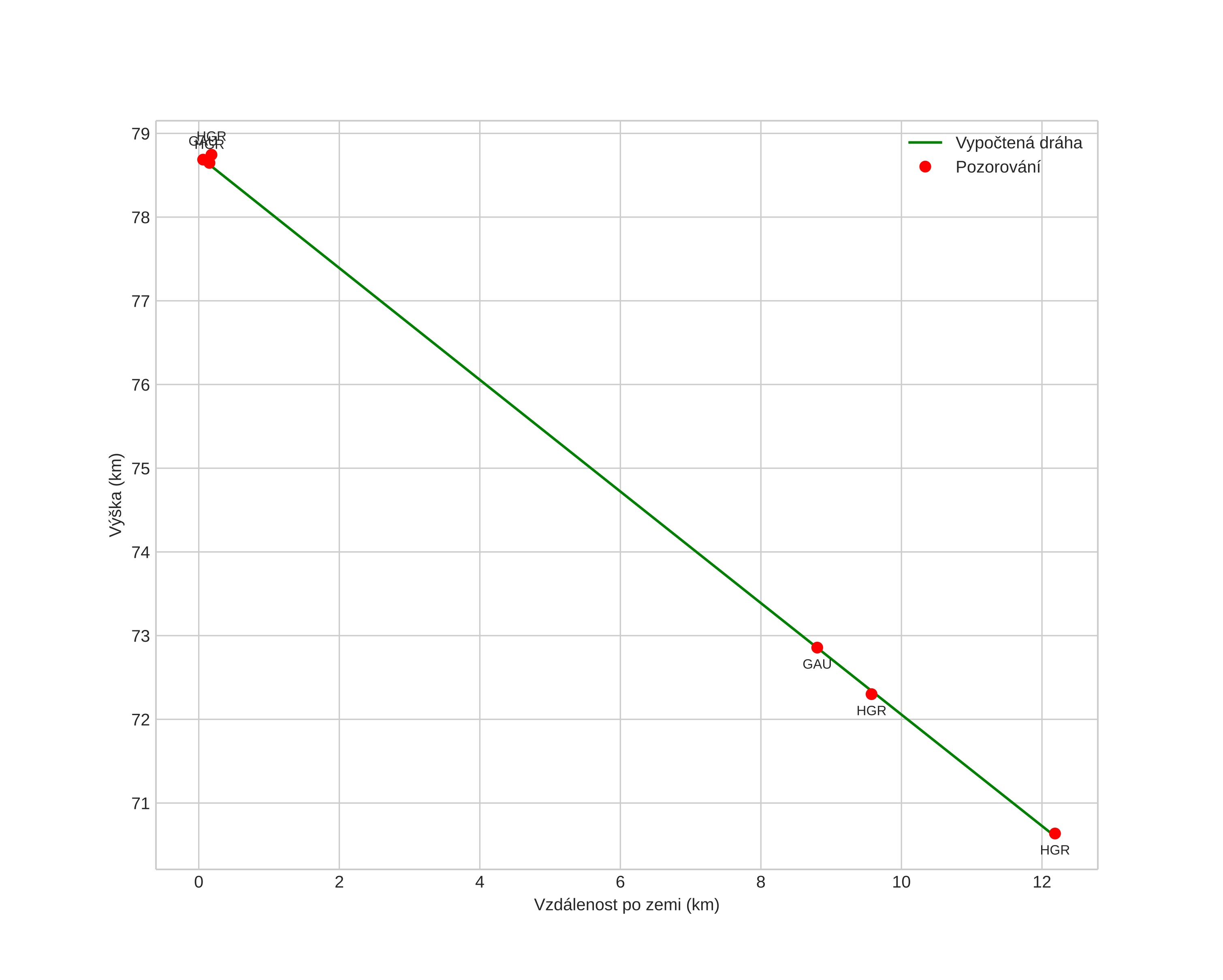
height profile
Atmosférická dráha meteoru:
Počáteční výška: 78,9 km
Konečná výška: 70,9 km
Počáteční poloha: 60,635N 9,508E
Konečná poloha: 60,622N 9,289E
Směr: 263,3°
Sklon: 33,6°
VstupnĂ­ rychlost: 22,2 km/s
Rektascenze radiantu: 08:18 (124,6°)
Deklinace radiantu: 28,7°
MeteorickĂ˝ roj: sporadickĂ˝
Elementy dráhy meteoroidu:
Vzdálenost v periheliu: 0,720 AU
Excentricita: 0,736
Sklon dráhy: 5,0°
Délka vzestupného uzlu: 310,7°
Argument perihelia: 248,7°
Střední anomálie: 351,1°
Epocha: 2025 JAN 30 17:41:33
orbit plot

NeinteraktivnĂ­ graf | InteraktivnĂ­ graf

position vs time
speed and acceleration