🇳🇴 🇬🇧 🇩🇪 🇨🇿 🇫🇮

Meteor Nesbyenin yllä 2025-01-30 17:41:33 UTC

KML-tiedosto  |  Interaktiivinen kartta

Kartta näyttää meteorin suuntahavainnot. Vaaleammat viivat näyttävät suunnat havaintoasemilta meteorin ilmestyessä, ja tummemmat viivat näyttävät, missä se viimeksi nähtiin. Sininen nuoli näyttää meteorin näkyvän lennon.

static map
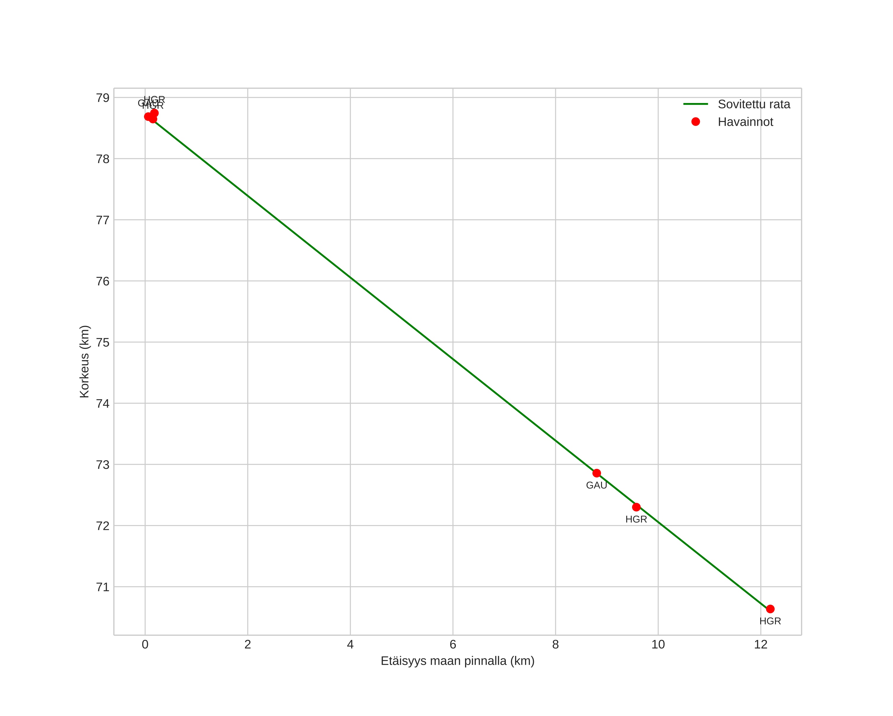
height profile
Meteorin ilmakehärata:
Alkukorkeus: 78,9 km
Loppukorkeus: 70,9 km
Alkupiste: 60,635N 9,508E
Loppupiste: 60,622N 9,289E
Suunta: 263,3°
Kallistuskulma: 33,6°
Tulonopeus: 22,2 km/s
Radiantin R,A,: 08:18 (124,6°)
Radiantin Dekl,: 28,7°
Meteoriparvi: Sporadinen
Meteoroidin rataelementit:
Perihelietäisyys: 0,720 AU
Eksentrisyys: 0,736
Inklinaatio: 5,0°
Nousevan solmun pituus: 310,7°
Perihelin argumentti: 248,7°
Keskianomalia: 351,1°
Epookki: 2025 JAN 30 17:41:33
orbit plot

Ei-interaktiivinen kuvaaja | Interaktiivinen kuvaaja

position vs time
speed and acceleration