🇳🇴 🇬🇧 🇩🇪 🇨🇿 🇫🇮

Meteor, poloha: FlĂĄ 2025-01-30 18:40:10 UTC

Soubor KML  |  InteraktivnĂ­ mapa

Mapa zobrazuje dráhy meteoru. Světlejší čáry ukazují směry od pozorovacích stanic při objevení se meteoru a tmavší čáry, kde byl naposledy viděn. Modrá šipka značí viditelnou dráhu meteoru.

static map
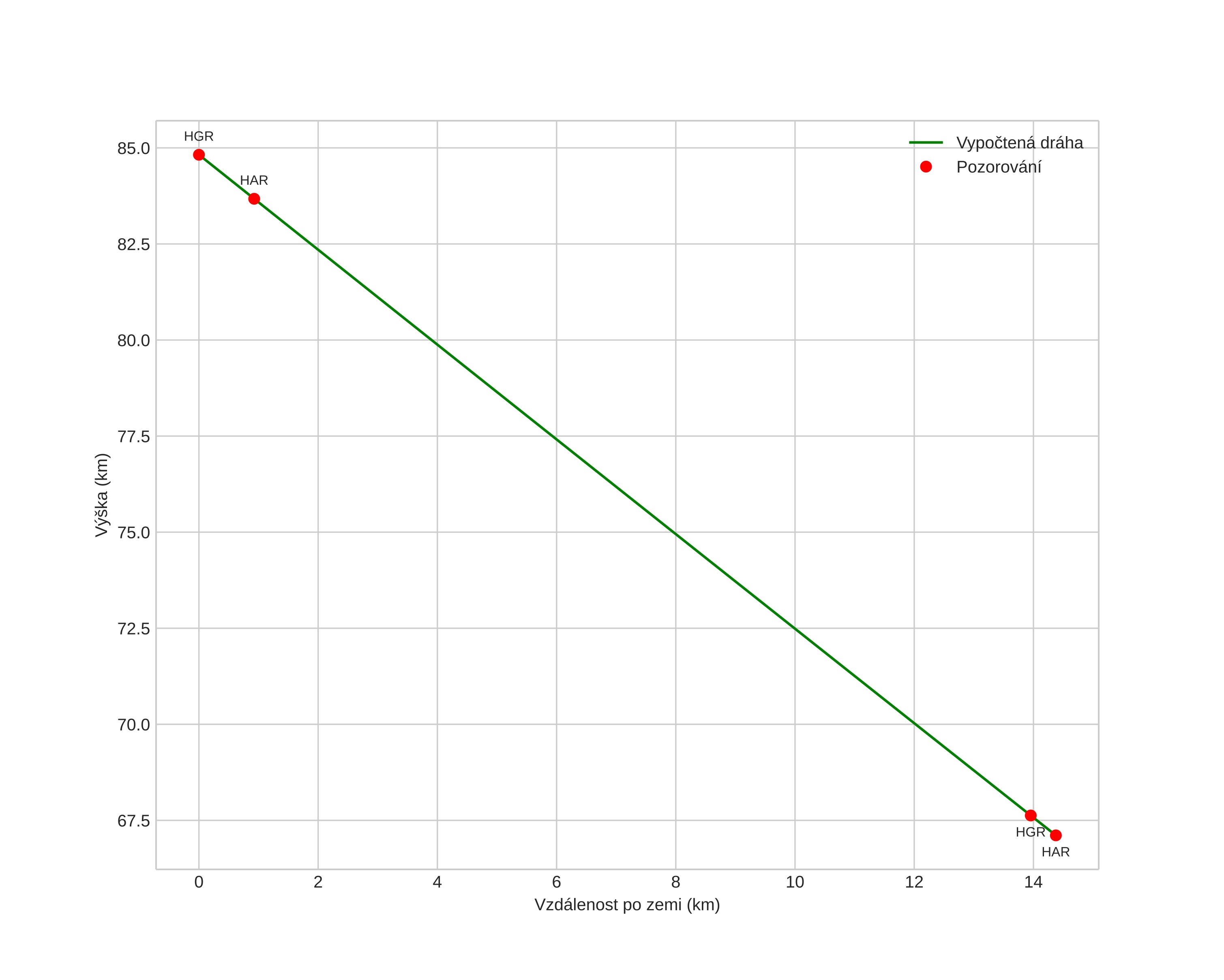
height profile
Atmosférická dráha meteoru:
Počáteční výška: 85,2 km
Konečná výška: 67,0 km
Počáteční poloha: 60,455N 9,356E
Konečná poloha: 60,337N 9,468E
Směr: 154,8°
Sklon: 51,4°
VstupnĂ­ rychlost: 25,2 km/s
Rektascenze radiantu: 20:15 (303,9°)
Deklinace radiantu: 71,3°
MeteorickĂ˝ roj: sporadickĂ˝
Elementy dráhy meteoroidu:
Vzdálenost v periheliu: 0,985 AU
Excentricita: 0,924
Sklon dráhy: 32,0°
Délka vzestupného uzlu: 310,8°
Argument perihelia: 178,3°
Střední anomálie: 0,0°
Epocha: 2025 JAN 30 18:40:10
orbit plot

NeinteraktivnĂ­ graf | InteraktivnĂ­ graf

position vs time
speed and acceleration