🇳🇴 🇬🇧 🇩🇪 🇨🇿 🇫🇮

Meteor Flåin yllä 2025-01-30 18:40:10 UTC

KML-tiedosto  |  Interaktiivinen kartta

Kartta näyttää meteorin suuntahavainnot. Vaaleammat viivat näyttävät suunnat havaintoasemilta meteorin ilmestyessä, ja tummemmat viivat näyttävät, missä se viimeksi nähtiin. Sininen nuoli näyttää meteorin näkyvän lennon.

static map
height profile
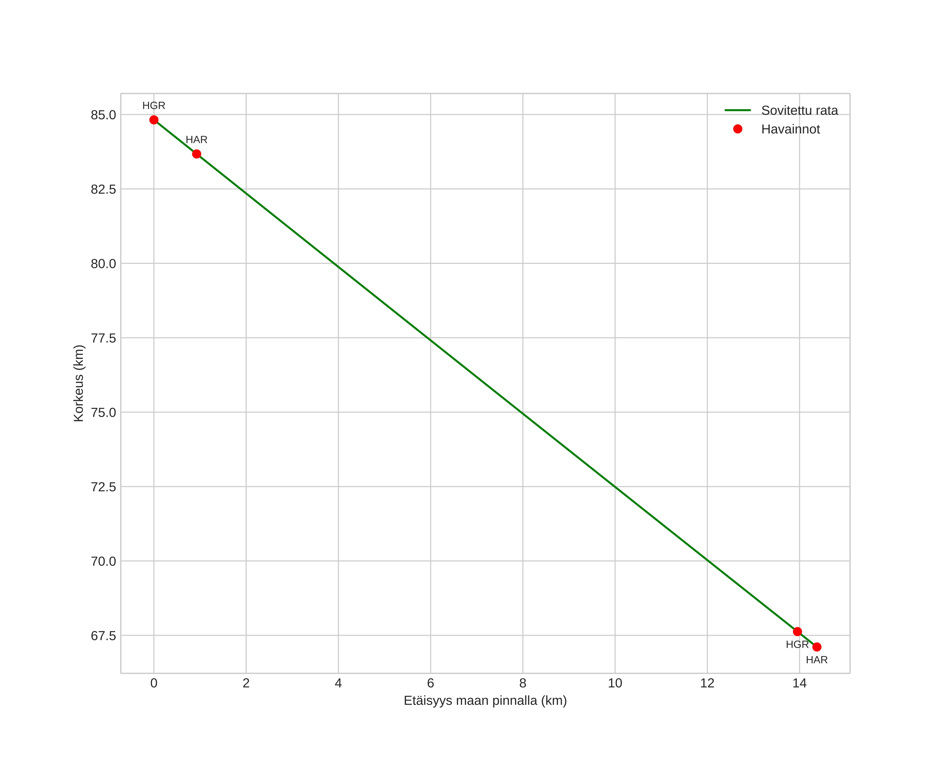
Meteorin ilmakehärata:
Alkukorkeus: 85,2 km
Loppukorkeus: 67,0 km
Alkupiste: 60,455N 9,356E
Loppupiste: 60,337N 9,468E
Suunta: 154,8°
Kallistuskulma: 51,4°
Tulonopeus: 25,2 km/s
Radiantin R,A,: 20:15 (303,9°)
Radiantin Dekl,: 71,3°
Meteoriparvi: Sporadinen
Meteoroidin rataelementit:
Perihelietäisyys: 0,985 AU
Eksentrisyys: 0,924
Inklinaatio: 32,0°
Nousevan solmun pituus: 310,8°
Perihelin argumentti: 178,3°
Keskianomalia: 0,0°
Epookki: 2025 JAN 30 18:40:10
orbit plot

Ei-interaktiivinen kuvaaja | Interaktiivinen kuvaaja

position vs time
speed and acceleration