🇳🇴 🇬🇧 🇩🇪 🇨🇿 🇫🇮

Meteor, poloha: Garphyttan 2025-01-30 21:39:15 UTC

Soubor KML  |  InteraktivnĂ­ mapa

Mapa zobrazuje dráhy meteoru. Světlejší čáry ukazují směry od pozorovacích stanic při objevení se meteoru a tmavší čáry, kde byl naposledy viděn. Modrá šipka značí viditelnou dráhu meteoru.

static map
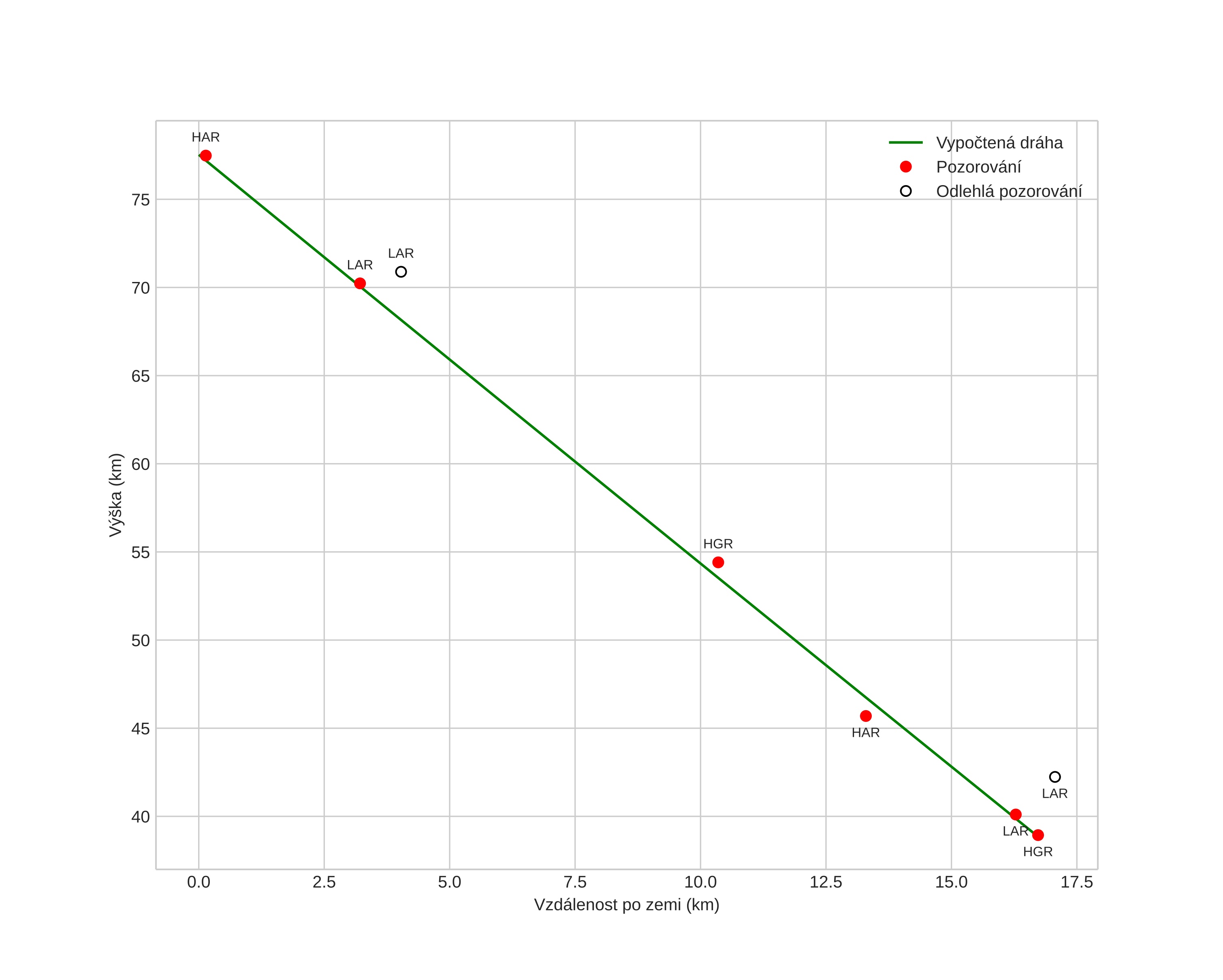
height profile
Atmosférická dráha meteoru:
Počáteční výška: 77,9 km
Konečná výška: 39,0 km
Počáteční poloha: 59,260N 14,993E
Konečná poloha: 59,399N 14,891E
Směr: 339,5°
Sklon: 67,1°
VstupnĂ­ rychlost: 18,3 km/s
Rektascenze radiantu: 07:57 (119,3°)
Deklinace radiantu: 34,7°
MeteorickĂ˝ roj: sporadickĂ˝
Elementy dráhy meteoroidu:
Vzdálenost v periheliu: 0,811 AU
Excentricita: 0,596
Sklon dráhy: 5,7°
Délka vzestupného uzlu: 310,9°
Argument perihelia: 238,2°
Střední anomálie: 346,5°
Epocha: 2025 JAN 30 21:39:15
orbit plot

NeinteraktivnĂ­ graf | InteraktivnĂ­ graf

position vs time
speed and acceleration