🇳🇴 🇬🇧 🇩🇪 🇨🇿 🇫🇮

Meteor über Garphyttan 2025-01-30 21:39:15 UTC

KML-Datei  |  Interaktive Karte

Die Karte zeigt die Peilungen für den Meteor. Die helleren Linien zeigen die Richtungen von den Beobachtungsorten beim Erscheinen des Meteors, und die dunkleren Linien, wo er zuletzt gesehen wurde. Der blaue Pfeil zeigt die sichtbare Bahn des Meteors.

static map
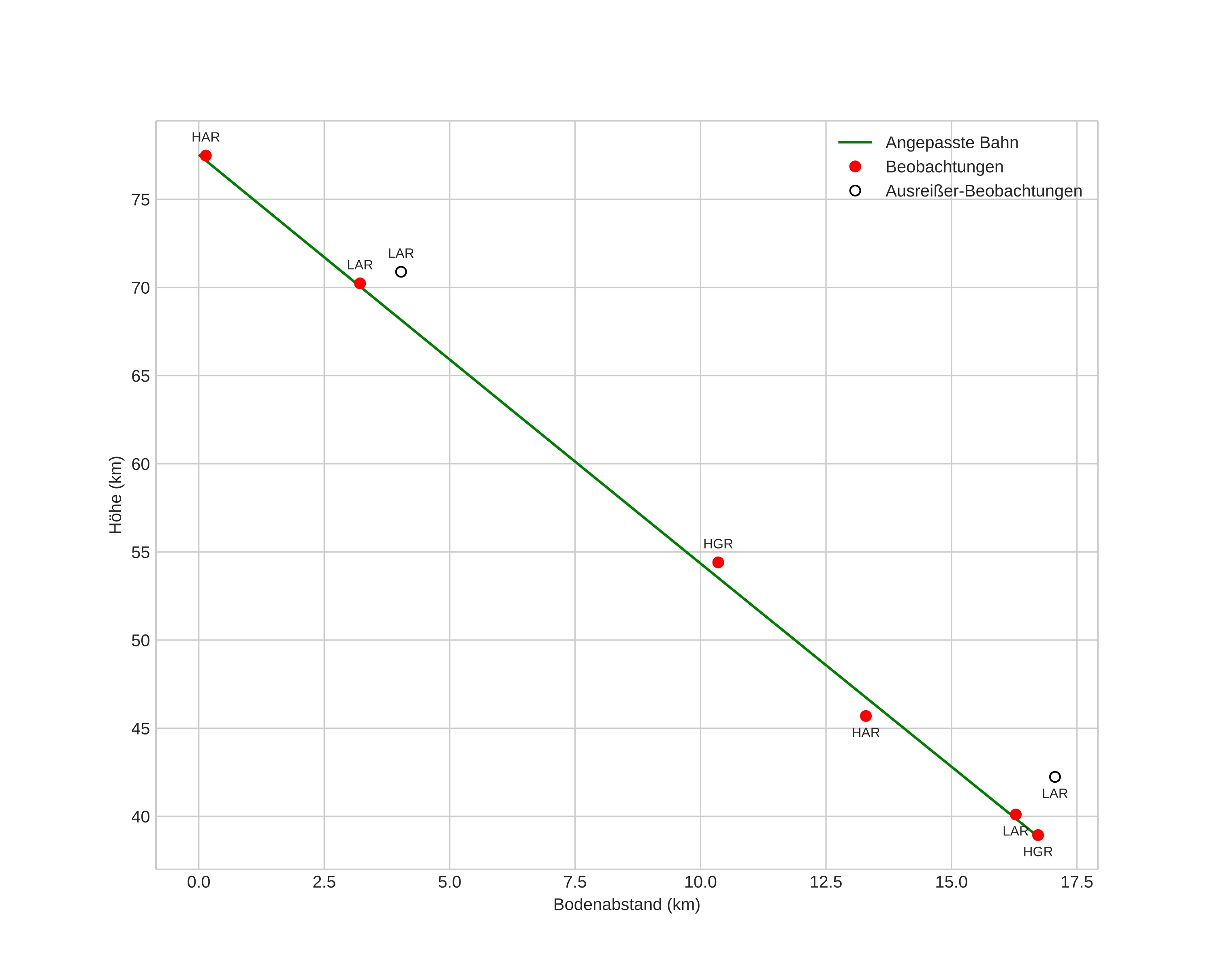
height profile
Atmosphärische Bahn des Meteors:
Anfangshöhe: 77,9 km
Endhöhe: 39,0 km
Startposition: 59,260N 14,993E
Endposition: 59,399N 14,891E
Richtung: 339,5°
Neigungswinkel: 67,1°
Eintrittsgeschwindigkeit: 18,3 km/s
Rektaszension des Radianten: 07:57 (119,3°)
Deklination des Radianten: 34,7°
Meteorstrom: sporadisch
Bahnelemente des Meteoroiden:
Periheldistanz: 0,811 AU
Exzentrizität: 0,596
Inklination: 5,7°
Länge des aufsteigenden Knotens: 310,9°
Argument des Perihels: 238,2°
Mittlere Anomalie: 346,5°
Epoche: 2025 JAN 30 21:39:15
orbit plot

Nicht-interaktives Diagramm | Interaktives Diagramm

position vs time
speed and acceleration