🇳🇴 🇬🇧 🇩🇪 🇨🇿 🇫🇮

Meteor, poloha: Vik 2025-01-31 02:04:24 UTC

Soubor KML  |  InteraktivnĂ­ mapa

Mapa zobrazuje dráhy meteoru. Světlejší čáry ukazují směry od pozorovacích stanic při objevení se meteoru a tmavší čáry, kde byl naposledy viděn. Modrá šipka značí viditelnou dráhu meteoru.

static map
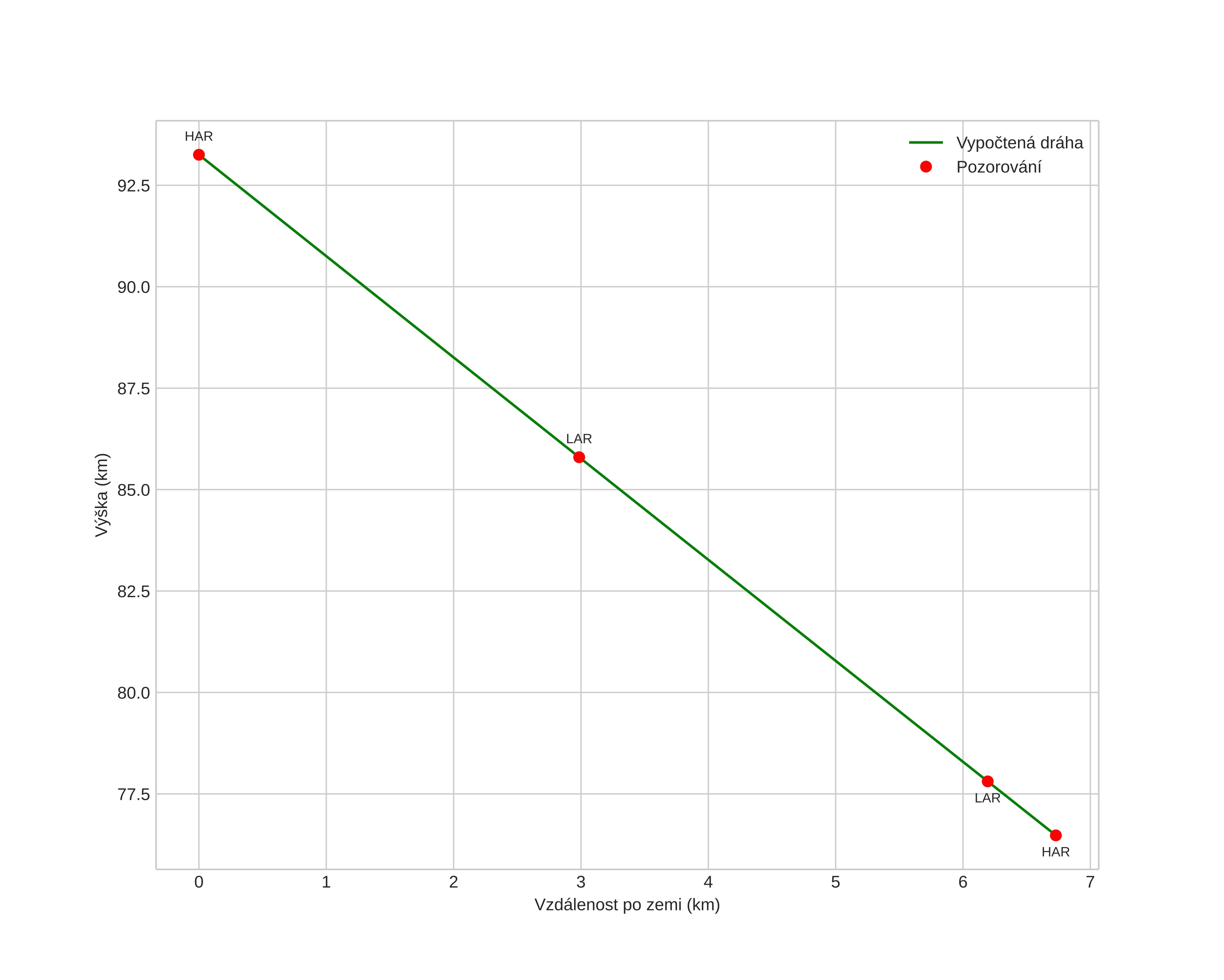
height profile
Atmosférická dráha meteoru:
Počáteční výška: 91,1 km
Konečná výška: 77,0 km
Počáteční poloha: 60,053N 10,104E
Konečná poloha: 59,993N 10,169E
Směr: 151,3°
Sklon: 61,7°
VstupnĂ­ rychlost: 24,7 km/s
Rektascenze radiantu: 06:13 (93,3°)
Deklinace radiantu: 75,2°
MeteorickĂ˝ roj: sporadickĂ˝
Elementy dráhy meteoroidu:
Vzdálenost v periheliu: 0,934 AU
Excentricita: 1,133
Sklon dráhy: 24,0°
Délka vzestupného uzlu: 311,1°
Argument perihelia: 205,5°
Střední anomálie: -0,9°
Epocha: 2025 JAN 31 02:04:24
orbit plot

NeinteraktivnĂ­ graf | InteraktivnĂ­ graf

position vs time
speed and acceleration