🇳🇴 🇬🇧 🇩🇪 🇨🇿 🇫🇮

Meteor Vikin yllä 2025-01-31 02:04:24 UTC

KML-tiedosto  |  Interaktiivinen kartta

Kartta näyttää meteorin suuntahavainnot. Vaaleammat viivat näyttävät suunnat havaintoasemilta meteorin ilmestyessä, ja tummemmat viivat näyttävät, missä se viimeksi nähtiin. Sininen nuoli näyttää meteorin näkyvän lennon.

static map
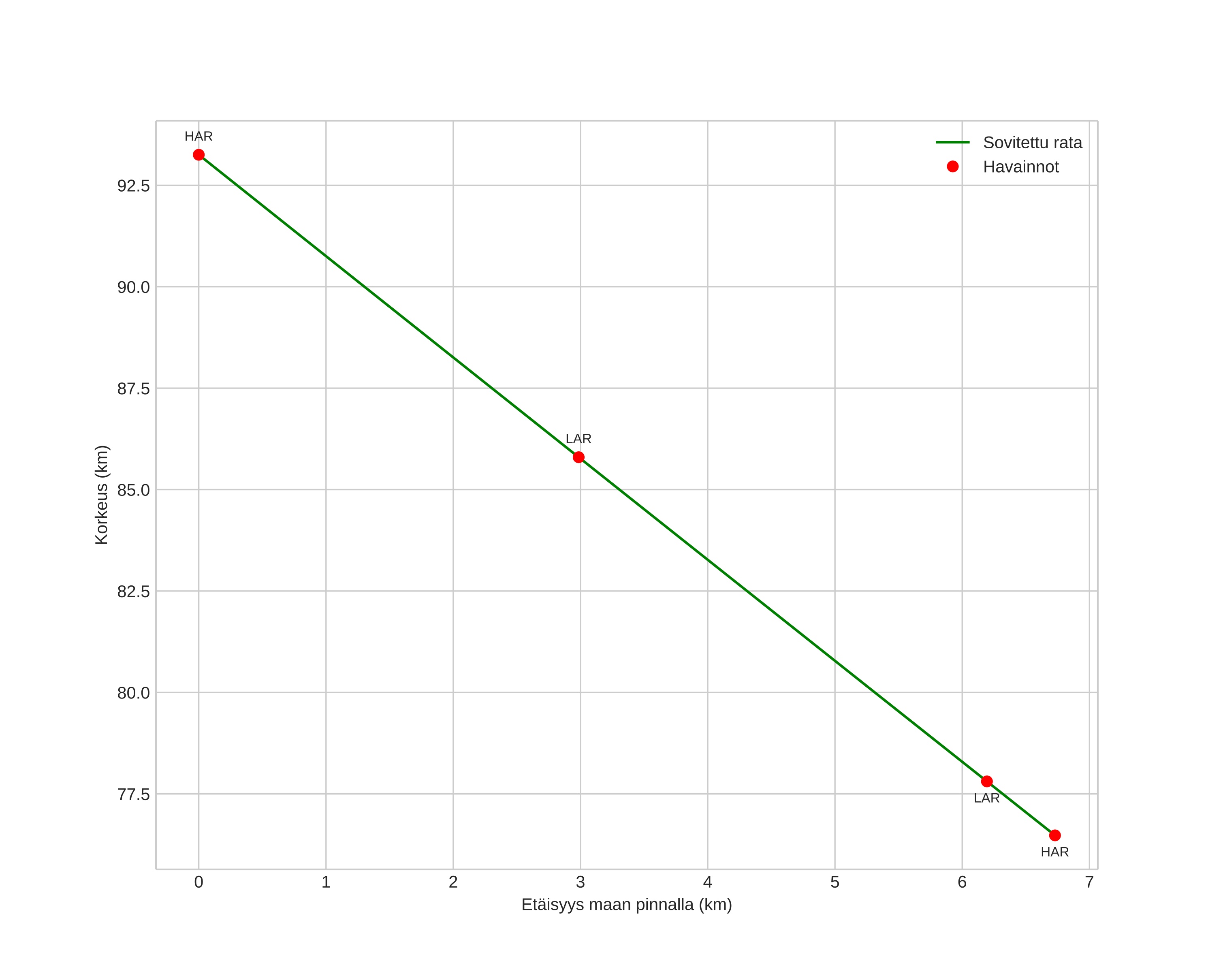
height profile
Meteorin ilmakehärata:
Alkukorkeus: 91,1 km
Loppukorkeus: 77,0 km
Alkupiste: 60,053N 10,104E
Loppupiste: 59,993N 10,169E
Suunta: 151,3°
Kallistuskulma: 61,7°
Tulonopeus: 24,7 km/s
Radiantin R,A,: 06:13 (93,3°)
Radiantin Dekl,: 75,2°
Meteoriparvi: Sporadinen
Meteoroidin rataelementit:
Perihelietäisyys: 0,934 AU
Eksentrisyys: 1,133
Inklinaatio: 24,0°
Nousevan solmun pituus: 311,1°
Perihelin argumentti: 205,5°
Keskianomalia: -0,9°
Epookki: 2025 JAN 31 02:04:24
orbit plot

Ei-interaktiivinen kuvaaja | Interaktiivinen kuvaaja

position vs time
speed and acceleration