🇳🇴 🇬🇧 🇩🇪 🇨🇿 🇫🇮

Meteor, poloha: Smögen 2025-01-31 04:54:59 UTC

Soubor KML  |  InteraktivnĂ­ mapa

Mapa zobrazuje dráhy meteoru. Světlejší čáry ukazují směry od pozorovacích stanic při objevení se meteoru a tmavší čáry, kde byl naposledy viděn. Modrá šipka značí viditelnou dráhu meteoru.

static map
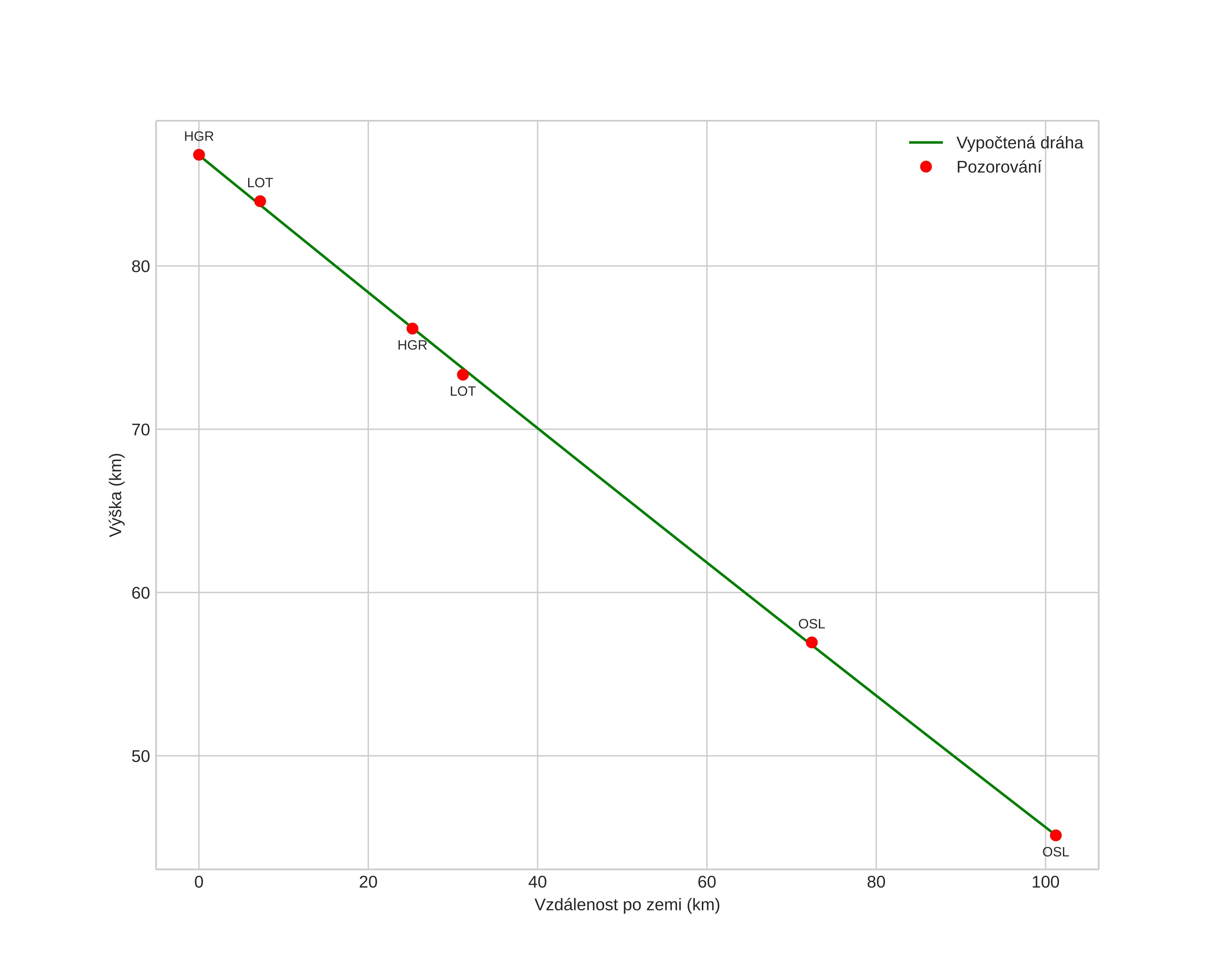
height profile
Atmosférická dráha meteoru:
Počáteční výška: 86,7 km
Konečná výška: 44,6 km
Počáteční poloha: 58,477N 12,741E
Konečná poloha: 58,501N 10,996E
Směr: 272,2°
Sklon: 22,5°
VstupnĂ­ rychlost: 19,0 km/s
Rektascenze radiantu: 19:48 (297,0°)
Deklinace radiantu: 11,2°
MeteorickĂ˝ roj: sporadickĂ˝
Elementy dráhy meteoroidu:
Vzdálenost v periheliu: 0,656 AU
Excentricita: 0,423
Sklon dráhy: 15,8°
Délka vzestupného uzlu: 311,2°
Argument perihelia: 82,8°
Střední anomálie: 48,7°
Epocha: 2025 JAN 31 04:54:59
orbit plot

NeinteraktivnĂ­ graf | InteraktivnĂ­ graf

position vs time
speed and acceleration