🇳🇴 🇬🇧 🇩🇪 🇨🇿 🇫🇮

Meteor Smögenin yllä 2025-01-31 04:54:59 UTC

KML-tiedosto  |  Interaktiivinen kartta

Kartta näyttää meteorin suuntahavainnot. Vaaleammat viivat näyttävät suunnat havaintoasemilta meteorin ilmestyessä, ja tummemmat viivat näyttävät, missä se viimeksi nähtiin. Sininen nuoli näyttää meteorin näkyvän lennon.

static map
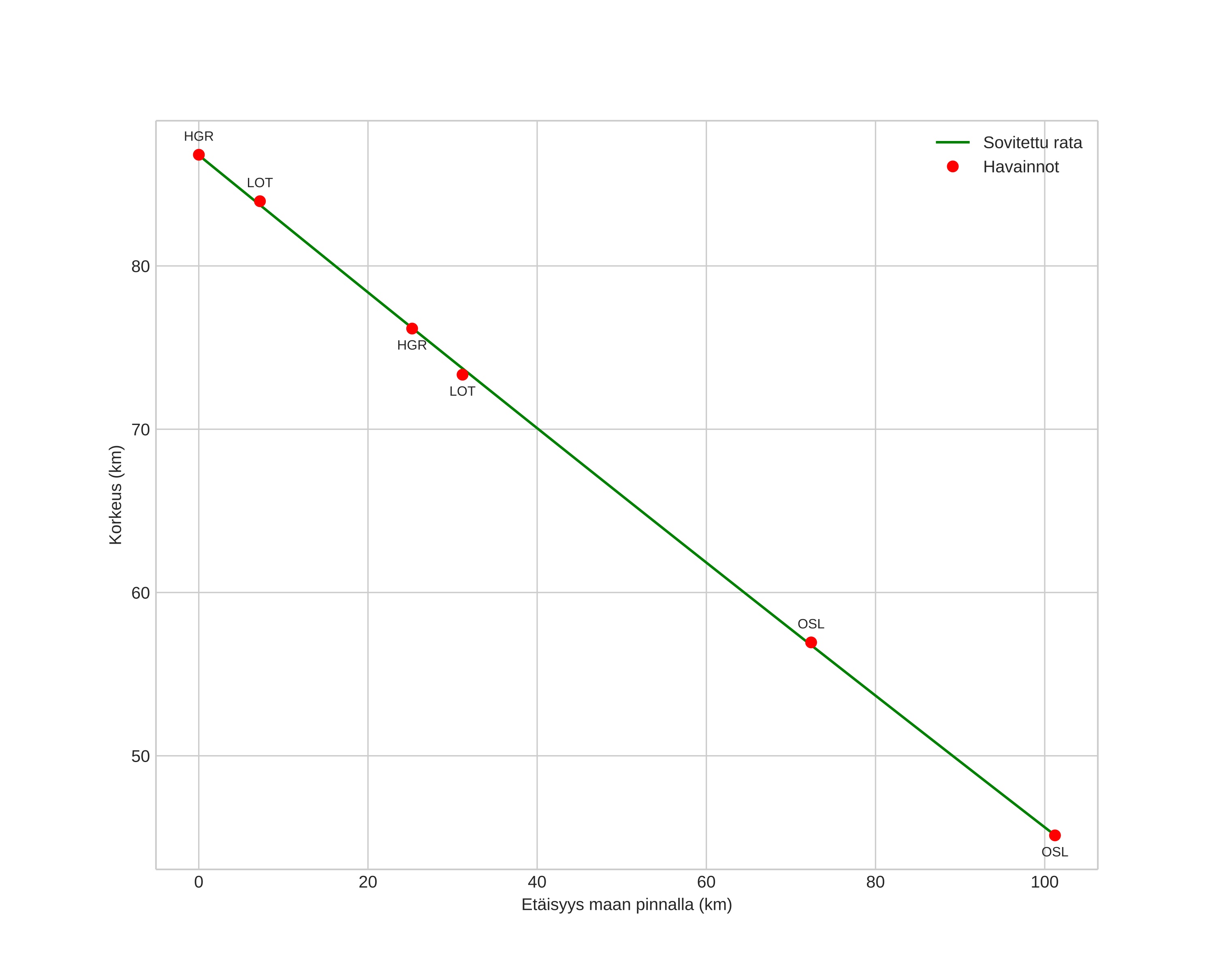
height profile
Meteorin ilmakehärata:
Alkukorkeus: 86,7 km
Loppukorkeus: 44,6 km
Alkupiste: 58,477N 12,741E
Loppupiste: 58,501N 10,996E
Suunta: 272,2°
Kallistuskulma: 22,5°
Tulonopeus: 19,0 km/s
Radiantin R,A,: 19:48 (297,0°)
Radiantin Dekl,: 11,2°
Meteoriparvi: Sporadinen
Meteoroidin rataelementit:
Perihelietäisyys: 0,656 AU
Eksentrisyys: 0,423
Inklinaatio: 15,8°
Nousevan solmun pituus: 311,2°
Perihelin argumentti: 82,8°
Keskianomalia: 48,7°
Epookki: 2025 JAN 31 04:54:59
orbit plot

Ei-interaktiivinen kuvaaja | Interaktiivinen kuvaaja

position vs time
speed and acceleration