🇳🇴 🇬🇧 🇩🇪 🇨🇿 🇫🇮

Meteor, poloha: Ekshärad 2025-01-31 17:06:40 UTC

Soubor KML  |  InteraktivnĂ­ mapa

Mapa zobrazuje dráhy meteoru. Světlejší čáry ukazují směry od pozorovacích stanic při objevení se meteoru a tmavší čáry, kde byl naposledy viděn. Modrá šipka značí viditelnou dráhu meteoru.

static map
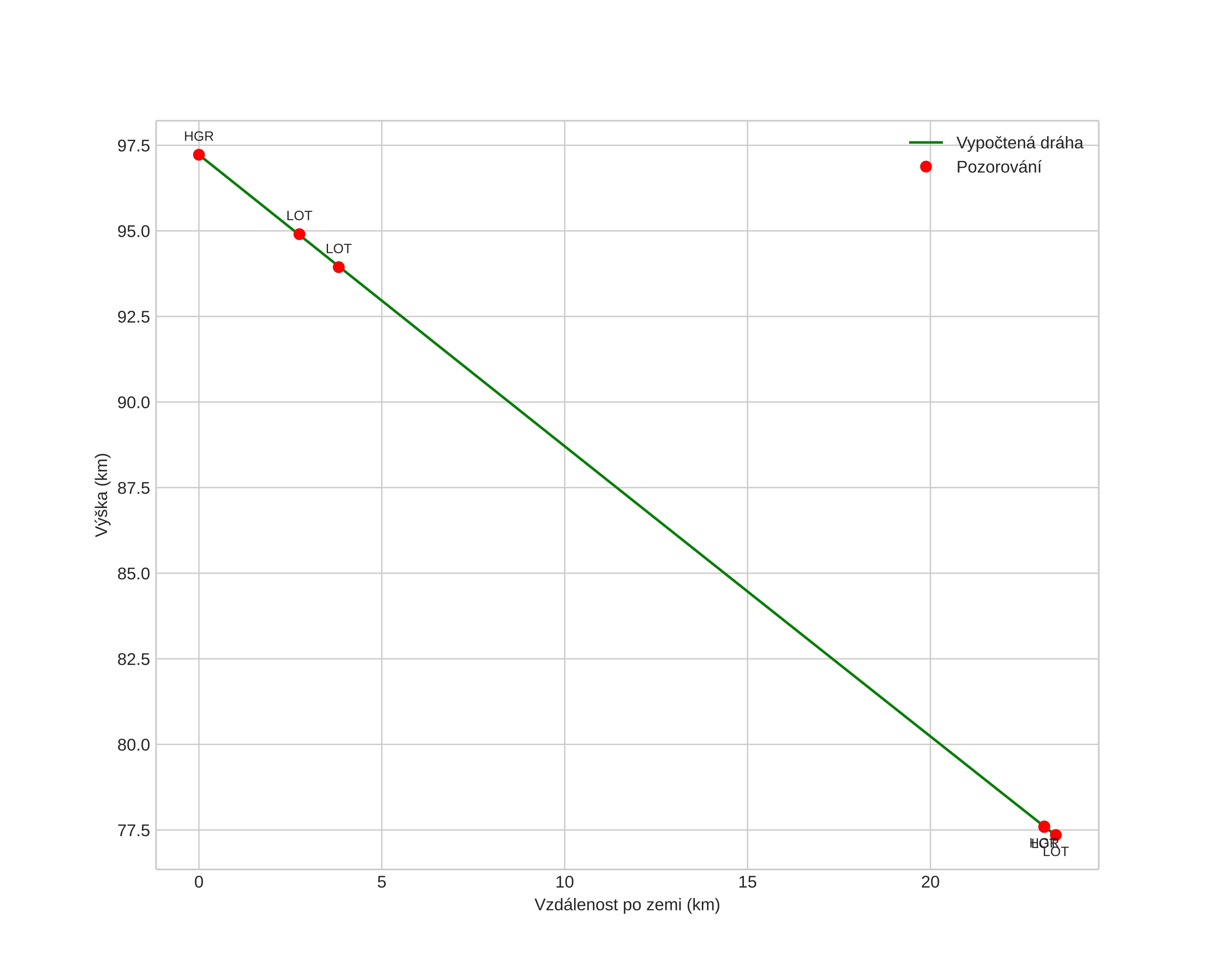
height profile
Atmosférická dráha meteoru:
Počáteční výška: 96,9 km
Konečná výška: 77,4 km
Počáteční poloha: 60,381N 12,975E
Konečná poloha: 60,225N 13,251E
Směr: 138,7°
Sklon: 40,2°
VstupnĂ­ rychlost: 25,6 km/s
Rektascenze radiantu: 19:14 (288,5°)
Deklinace radiantu: 54,9°
MeteorickĂ˝ roj: sporadickĂ˝
Elementy dráhy meteoroidu:
Vzdálenost v periheliu: 0,954 AU
Excentricita: 0,660
Sklon dráhy: 36,2°
Délka vzestupného uzlu: 311,7°
Argument perihelia: 157,1°
Střední anomálie: 3,6°
Epocha: 2025 JAN 31 17:06:40
orbit plot

NeinteraktivnĂ­ graf | InteraktivnĂ­ graf

position vs time
speed and acceleration